Hypothesis of Mind
David Kashani*
405 S. Walts Avenue # Sioux Falls, South Dakota 57104, USA
*Corresponding Author: David Kashani, 405 S. Walts Avenue # Sioux Falls, South Dakota 57104, USA.
Received: 15 December 2025; Accepted: 20 December 2025; Published: 07 January 2026.
Article Information
Citation: David Kashani. Hypothesis of Mind. Journal of Psychiatry and Psychiatric Disorders 10 (2026): 01-18.
DOI: 10.26502/jppd.2572-519X0266
View / Download Pdf Share at FacebookAbstract
A physical model of consciousness is proposed wherein the ‘mental’, as distinct and separate from its brain under structure, exists as an epiphenomenal part of it, fully explainable by the physics of special relativity and quantum mechanics. A methodology based on the “auditory rabbit” and the “cutaneous rabbit”, sound wave physics, the visual saltation illusion of Kanisza triangles, and the principles of time dilation is then outlined to either support or falsify this conclusion. Specifically, a quasi-inequality or test is created the satisfaction of which would falsify the hypothesis. This booklet crafts a hypothesis regarding consciousness that would be amenable to the scientific method, while taking care not to veer off into metaphysics except where it be possible to incorporate same into reasonable scientific certainty or, at minimum, render it moot herein. Since the advancement of our scientific understanding of the mind continues to be dependent in no small measure upon authentically incorporating as much philosophy into science as possible, I begin with some background in philosophy of mind.
Keywords
Mind, Consciousness, Psychiatry, philosophy.
Mind articles; Consciousness articles; Psychiatry articles; philosophy articles.
Article Details
1. I think therefore I am. -Rene Descartes
With this phrase, one of the greatest philosophers of mind, Rene Descartes (1596-1650) [1] proclaims the undeniability of his existence in the universe. Undeniable because by his reasoning, he may plausibly call into question the existence of everything around him, in fact everything in the universe, as the product of say, a demonic entity hellbent on deceiving him, he may even question the veracity of his own beliefs as a product or outgrowth of the ‘Matrix” but what he may not doubt is his own doubting because that undoubtedly would still leave him doubting. Since the agency or independence of his thoughts, as distinct and certain in this way, is the one thing that by collapsing in on itself must be true, his existence must also be true. I think, therefore I am.
Having established himself as a conscious entity with mental life, Descartes proceeds to frame the problem in terms of two types of ‘stuff’, the mental and the physical, mind/matter duality, wherein the former somehow interacts with the latter. Without recapitulating the entire history of philosophy of mind, suffice to say that some 370+ years after Descartes the jury is still out on Cartesian duality; specifically, how ‘the mind’, lacking any physical substance, can possibly interact with the physical, even while knowing full well that it does. The prevailing contemporary models find commonality in the functional theories of mind [3] where the mind is viewed as “brain states” in series or as a neural network overlaid on its brain understructure leading to some functional outcome or purpose much as computer software runs on computer hardware circuitry producing an output. Think of a hand made into a fist, the fist being a conformation of the hand for a specific purpose yet not existing independent of it, although Descartes may have believed that it did.
Critics of the functional approach to mind and consciousness are quick to point out that a brain state defined by function alone cannot possibly capture subjective experience, such as what it is like to experience a sunrise, an ocean view, or a stadium of 100,000 noisy partisans. As such they argue, it is incomplete, omitting the very thing it attempts to describe, consciousness. There must be more to it than mere function they argue. I agree. It is meaning given to conscious experience as it pertains to an individual in a given space, time and circumstance, i.e., the appreciation of the experience, plus whatever function derived from the state of the brain that led to the experience, in its entirety, that counts as consciousness. Any theory that cannot account for all aspects of consciousness including quiet enjoyment is either incomplete or an anti-theory, an argument against a separate thing in the mental realm called consciousness and its corollary, free will [4].
The Functionalist rebuttal is noteworthy, however. It argues that neurophysiological organization of the brain towards a functional result intrinsically generates, by accident or evolution, consciousness and conscious experience; the functioning brain yields a (physical) whole that is greater than the sum of its parts. Whether any of this is by evolution, design, or chance, is no concern of mine. What interests me is how such a theory might be proven on evidence that is objective and reproducible. Re-stating the problem, if consciousness is something that the brain serves up in integrating functional brain states into a physiologic whole, could it be that (the experience of having) consciousness is not ‘mental’ at all? Might it not be subsumed under biology, specifically neurobiology? If biology reduces to chemistry, chemistry to physics and physics to quantum mechanics/physics1, might we not then have the basis for a scientific theory of consciousness whose truth or falsity could be objectively verified by the scientific method?
Several neurological phenomena in normal brains as well as psychologically abnormal brains, point to potential explanations of consciousness in terms of the laws of physics, specifically the physics of Einstein’s special relativity [7] as it applies, to the microscopic world of quantum physics [2]. Anyone familiar with the theory of special relativity is familiar with the terms time dilation, time relative to a moving body, length contraction, proper length in a moving frame at relativistic speeds and so on. While these terms have been in use mostly to describe the macroscopic world of objects traveling at high speed, it is interesting to extrapolate how they would apply to the microscopic environment of the brain-the quantum brain, and what it would imply for the mind. If we accept the proposition that consciousness, conscious thought, occurs as an epiphenomenon of the brain, then could it be that in this neural network, this hologram that is the mind, electrons approach relativistic speeds producing time dilation and all other effects of special relativity?
To appreciate this paradigm, consider the visual phenomenon of a piece of paper with a pattern and an X on it. When the X is centered over the blind spot, it disappears yet there is no interruption in whatever pattern was there in the background. An optical illusion? If no changes are reported in the pattern, whatever it happened to be, it would militate against it being an optical illusion. Perhaps the effect could be better explained by the difference between the angle subtended by the paper’s edge when drawn against an imaginary perpendicular line from the piece of paper to the fovea (as seen by the mind) and the actual angle subtended. Since the X on the actual length paper subtends at a different angle, when over the blind spot it disappears into the pattern on the piece of paper giving the appearance of a sensory illusion. Reproducing something analogous to this phenomenon has been accomplished reliably in other senses, and suggestions made that relativistic principles as applied to quantum mechanics overlaid on brain physiology could be involved [4]. However, demonstrating the evidentiary basis for it and relating that less equivocally to a unifying global theory of mind has not been done to my knowledge, and would refute the claim of it simply being an illusion.
But if they are not illusions then what are they? It gets to the heart of the central dilemma that has vexed many scientists and it is of course: Is it a particle or is it a wave [5]? If this appears at first blush off the topic, or worse, as if we have here a substrate for another debate about reality, perhaps so but that is not where I wish to take the discussion. In tribute to Descartes, my interest is in demonstrating a specific reality, that thinking, specifically my thinking and the mind that thinks my thoughts is real, undoubtable and privileged to me. But to do so in the digital age requires a step beyond simply retracing Descartes’ exercises of logic, it would require proof, physical proof of my capacity to think, and of my mind. As with Descartes, if I establish this as independently true by modern standards, then many other truths may follow from it and the cause of science and medicine hopefully nudged forward.
If you accept the proposition that the mind exists physically (granted, a presupposition, but central to the hypothesis) then what the special senses tell us and what the mind perceives must be very different. It MUST be different to establish physical evidence of mental life. It gets tricky here because if you cannot believe what your senses tell you then what can you believe? I think therefore I am is sufficient. Rene Descartes has already been there ahead of us so let’s lean on him and work forward. If we exist by virtue of our consciousness, then consciousness itself exists. If we can discard the notion of the mental as distinct from the physical, consciousness is something physical. To exist at all therefore, it must differentiate from the understructure of function and neuroanatomy it is in meta position to. This MUST be true, since it would meld into and become indistinguishable from its physical and functional understructure were it not true. The differentiation could be in form of what special relativity tells us about time and length, specifically time dilation and length contraction generated by movement of electrons at relativistic speeds. Let us now seek the means of proof.
2. The Rabbit Illusions- Saltation anyone?
Since the ability to dilate time is the hallmark of this model, there would be ratios of relative time and distance; these are space and time as it occurs in the conscious mind vs space and time as it occurs in the brain which for the sake of simplicity and clarity, we will consider to be the same as in the environment.
For time, the problem can be set as:
tconscious self: tbrain or ts: tearth where: represents the ratio and tbrain = tearth.
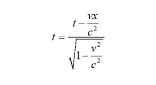
The time dilation formula11 derived from the Fitzgerald contraction for length elaborates this as:

where v= velocity, x=length, and c=speed of light and v < c.
For simplicity we can express this as:
ts / tb = q, time dilation quotient.
But since we can’t directly observe the physical constituents of mind (consciousness, unconscious or collective unconscious), we extrapolate from Einstein that time dilation and length contraction are the mind’s reflection of the environment in ITS frame, and no frame has privilege over any other (debates over whether or how [in what form] reality can exist without consciousness notwithstanding, and left for discussion at another time). Therefore, the actual numbers are not important at the moment, what is most important is to drive home the concepts. For example, if for every 1 second that passes in the perception of the conscious mind, 3 seconds pass on earth the ratio is 1/3. Also remember, special relativity says that when time is slowed, length is contracted. If you accept the commonly held premise in physics that everything in the universe is essentially granular, then external ‘reality’ is particles, particles that the mind only perceives as analog, as a continuous wave, because of the limits of our conscious perception [8], limits defined by ts/tb a time dilation quotient. The smaller the quotient the higher the propensity for conscious thought, but also, to perceive things as continuous not discrete.
We may choose a time dilation quotient, but a length contraction quotient could equally apply and express the goal with equal if not better clarity. The goal of course, is to simulate the numerator in the length contraction quotient (or time quotient if you prefer) to achieve unity or close to it. It might appear as though any attempt by an observer to demonstrate that relativistic effects are at play in consciousness would be vitiated by the observer’s own consciousness when in fact, all that is required is to show that the mind exists in a different frame and demonstrate the difference objectively. This just might also put an end to the man in the machine dilemma.
Consider the example of what has been referred to as the cutaneous rabbit [3]. Applying pressure at a point on the forearm results in the localized sensation of touch or pressure at that point. Applying sequential pressure more rapidly along the forearm results in the pressure being felt at locations in between, as in a rabbit running across the forearm. The brain somehow “filled in” the extra sensation of pressure at points where pressure was not applied. Illusions again? After all, how could you have felt a sensation where no pressure was applied? Indeed, since the tactile sensory nerves in the forearm require time to send impulses to the thalamus which then processes and directs stimuli for the mind’s interpretation, what is seen and what is felt are out of phase by the time each are consciously perceived. Thus, an extra sensation is produced and the effect is exaggerated without sight, in other words viewing dampens the rabbit effect allowing for better localization of taps. It is in effect a double stimulus that is not detected at lower tapping velocity, but if the velocity of tapping along the forearm is fast enough it will draw out the difference and an extra sensation will be felt. In similar fashion, if the velocity of tapping is synchronized to match the stagger, the rabbit should once again disappear.
The relativistic caveat to what I am proposing here is that clocks on either end on a post moving lengthwise (parallel to its length) keep time differently even though they are in the same frame! Thus, to an observer in a different frame, the clock at the bow of a ship ticks slower than the stern clock by a factor of lv/c2 even though to the ship’s captain they are fully synchronized. Suffice to say that to this hologram we call The Mind, of electrons, virtual particles and the like swirling in every direction at every conceivable angle at relativistic speeds in and about cells in the nervous system, the velocity v may in fact be quite large but the mind has learned to adapt itself through trial and error interactions with the environment to an effective interpretation of reality. This is the basis for the Tau and Kappa effects of Goldreich et. al [14]. If the processing time differential is known, then for any set length between taps, the frequency of tapping at which the rabbit effect should make its appearance can be calculated. This is then compared with the frequencies reported by participants in the study. If these are not one and the same, further study is needed for this article’s hypothesis of mind as such a finding may well constitute some evidentiary support for it.
Consider now the model of “the auditory rabbit” [6]. The auditory rabbit is like the cutaneous rabbit but is constrained by the invariant speed of sound through air, its medium. Two speakers are separated by distance, generating a series of dichotic clicking sounds with a time difference (time cadence) which the mind perceives as traveling across the space between the speakers. What we have are stimuli of the same frequency and type (sound), traveling at the same speed (speed of sound) but staggered by the time cadence.
Here we need only be concerned with frequencies or pitch of sounds and their associated wavelengths, or vice versa because any variation in frequency necessarily varies the wavelength by an inverse proportion. This is because the speed of sound through its medium is always constant. This fact allows us to derive data without needing to control for speed as an additional variable. In this way all observers, experimenters and participants alike, are naturally blinded.
The goal is to simulate the numerator in the length contraction quotient (or time quotient if you prefer) to achieve unity or close to it. Since no frame of reference in special relativity has privilege over any other, as was alluded to earlier, it might appear as though any attempt by an observer to demonstrate that relativistic effects are at play in consciousness would be vitiated by the observer’s own consciousness when in fact, all that is required is to show that the mind exists in a different frame and demonstrate the difference objectively. This just might also put an end to the man in the machine dilemma.
As stated previously, we may choose a time dilation quotient, but a length contraction quotient would better apply and express the goal with better clarity. To do this however, requires a huge conjecture, a huge assumption or postulate on our part; that it is possible to “fool” the sensory mind by introducing actual (proper) lengths (not length to the mind) into its frame as a uniform measure to overcome the ratio problem. Recall that special relativity requires that the distance d between fovea and blind spot (optic nerve root), and distance d’ between the ears in the auditory rabbit, contract to the observing self as elaborated by the Fitzgerald/Lorentz transformation for length. We must suppose therefore that under the proposed special circumstances those and only those distances, having not been captured in sense awareness, would be uniform across frames yielding objectively quantifiable data (for all other observers).
For sound, this is easy (easier); we vary the pitch (alter the frequency). What we want to know is whether doing so would expose a quantifiable discrepancy between perception and ‘reality’ (what the physics says) in terms of the saltation or displacement, much as hypothesized above in the cutaneous rabbit and in the visual exercise of the paper with the x on it.
If the effect of loudness on saltation can be controlled for or minimized, it might be expected that at a particular frequency f1 (where f1 is the fundamental frequency), wavelength λ , the saltation would be abolished since varying the frequency will eventuate in integer multiples n of 1/f1 aligning exactly with the time cadence, Δt. There is a second time cadence however, the aforementioned processing time difference Δt’, between sounds hitting one ear and the other. Although sound can be expressed algebraically as transverse waves (sine waves) in point of fact, they are longitudinal waves and behave as such.
We can imagine a situation where speakers are arranged in sort of a tube structure with one speaker at each end. Sound would have to come in at an angle and scatter for this to work. The sound then essentially mimics a standing wave (In fact, such a structure could be designed as a tube to create an actual standing wave of sound). Subjects are asked to stand in between the speakers. The experiment is then designed so that integer multiples of n of 1/f1 (or f1) align perfectly with both cadences Δt and Δt’ to create a maximum in each ear. Maximums should occur at n (λ/2) since maximums (or minimums) occur every λ/2, with the distance between a maximum and a noise cancelation being λ/4. Hence, for n (λ/4), odd integers of n give rise to a maximum in one ear followed by a noise cancelation in the other ear, whereas even integers would give rise to two maximums. Any combination including two nodes (noise cancelations) at each ear could be examined to determine what subjects report if anything. In such a scenario, the fundamental frequency f1 and its wavelength λ can be calculated without doing any experimentation at all.
You would expect the calculated frequencies f1 and those reported by experimentation, f’1 to be equivalent. If these frequencies and effective wavelengths associated with them are consistently not the same, then this could constitute objective evidence that the special relativity model of mind is correct, or that at least, the mind is doing something different than the brain and environment says it should be.
The temptation is to construct the experiment with participants at rest and wearing headphones whereupon the sound pitch is varied until theoretical maximums are achieved in each ear. Participants report the frequencies that abolish the saltation and whether they agree with those predicted by calculation. This arrangement however would be less illustrative since by using headphones you are by placing the sound directly on each ear thereby eliminating the effect of distance which the auditory system uses to localize sound sources,. If you accept the aforementioned assumptions (huge assumptions, I will grant you) only length lends itself to objective quantification by all observers who agree that it is a certain number. Time is process or phenomenologically driven. In other words, if the mind contracts length and dilates time because it exists in a different frame, only length is accessible to direct observation; The above arrangement therefore would be limiting since now you are only studying what Goldreich and Tong [13] designated as “perceptual time dilation” but the well known tau effect referred to by Goldreich and Tong requires examination of length (spatial acuity) and the kappa effect is defined as a phenomenon of process or how the mind keeps time under process driven circumstances which is unknowable without a separate length parameter defining the process in some fashion.. Even if a study subject reports time keeping in a certain way, it cannot be objectively said to be distorted without a concomitant observation of perceived length. Thus, in the case of headphones, by Newtonian mechanics, you would expect frequencies f1 from the above (predicted) and f’1 (reported by study participants) to be the same and if you likely found that not to be the case, then it’s relatable to a perceptual distortion involving both time and length (sound wavelength). Of course, you presume on the basis of constancy of the speed of sound through air that the wavelength must also have been perceptually distorted, a presumption that is captured in the aforementioned doppler equation for observers moving in relation to a stationary sound source.
If you constructed a wind tunnel that mimicked or produced a standing wave as described above, sound would enter at an angle, scatter and via the production of standing waves the inquiry could be expanded to study specific and definitive conditions of objectively verifiable length. Here you are studying the saltatory illusion under conditions of objectively measurable length and time arguably producing a more robust evidentiary basis for the hypothesis of mind proposed herein.
Now consider the situation where listeners are moving towards the sound source, how fast would they need to move to abolish the saltation? The doppler equation for such an occasion is as follows: f’= f0 (1+u/v) where f0 is the original sound frequency, f’ the new frequencies, u the speed of travel and v, the speed of sound and u<v. Of course, motion is not a requirement here, the doppler equations are only invoked to demonstrate a caveat to Einstein’s special relativity that is at once crazy and obvious: No frame has privilege over any other, unless one frame has consciousness, and the other frame doesn’t.
Finally, let us return to the visual system. How could we imagine a similar phenomenon here? Firstly, depth perception is an incredibly complex task involving recruitment of extraocular muscles, ocular muscles and visual neural circuits. Thankfully, it is not necessary to delve into this since the geometry and peculiarities of light waves alone may be sufficient to give us the answer we seek.
The theory of general relativity states that time dilates the closer one is to earth’s surface. This effect is overcome by objects traveling at very high speed around the earth’s orbit. The transverse doppler effect (as distinct from cosmic redshift) occurs when objects in relevant motion are at their points of closest approach. An object in stable orbit will have no longitudinal velocity relative to an earth observer at the point of closest approach which is perpendicular to earth as the object passes overhead. Light emitted from such a source will be redshifted in the receiver’s frame indicating time dilation relative to the receiver. Length is contracted also in the direction of motion. Although satellites travel at a fraction of the speed likely required to achieve results here, it is interesting to consider how redshifted light from a satellite in orbit could be illustrative here.
The speed of light remains constant for all observers regardless of frame of reference, so imagine a series of pulse bursts of electromagnetic energy if it could be done, made up of wavelengths of every color of visible light, the color burst separated by a time interval Φ between them. The pulses, which ordinarily would appear to the naked eye of an inertial frame observer as pulse bursts of white light, would need to include non-visible electromagnetic radiation from the ultraviolet range of the spectrum, but if the satellite was traveling at speeds fast enough to cause sufficient time dilation,
such pulses of electromagnetic energy would separate into the colors of the spectrum to an earth bound observer as though they were traveling through a prism. The degree of time dilation necessary for this to occur must be large enough that the dilated time interval Φ’ between the rays of color pulsed would be equal to or greater than the time interval required to distinguish each color in the visual nervous system with 6 time intervals between each color. Any subsequent pulse bursts of the aggregate generated would thus need to be at least at a time interval 7 times this. (representing each color of the spectrum). If the processing time is measured beforehand and is known, then the amount of time dilation required can be calculated and hence depending on φ, the speed at which the satellite must travel.
Consider now, the visual counterpart to the cutaneous and auditory rabbits as elaborated by Ito et. al. [12] (Journal of i-Perception 2023 volume 14(4), 1-13) using Kanisza triangles. Though analogous to the former, the use of light rather than sound or touch provides a crucial difference, crucial because of c, the upper limit of and thus invariant speed at which anything can travel. Here a pattern (Kanisza triangle) is presented with a light flash after which another Kanisza triangle is illuminated and overlayed in the same location with a very rapid stimulus onset asynchrony (time interval between flashes) or SOA. A third Kanisza triangle offset to the right is then illuminated. If the SOA are small enough, a saltatory effect is accomplished whereby the second triangle appears to move to the right in a position between the first and third. This is done under a variety of conditions using different SOAs, interval stimulus time intervals (ISIs), colors, etc. each producing saltatory effects of differing magnitudes. Let us analyze what’s going on here using the hypothesis of mind proposed. First of all, note that what the mind focuses on are the Kanisza triangle patterns not light and it is that focus on patterns that in turn draws out the mind’s method of perceptually organizing what it sees, a method that I argue is quantum mechanical and follows the principles of special relativity. Thus, when the patterns are illuminated before it, the mind assigns a connectivity to the patterns that arguably did not exist before the light flashes were introduced.
Since the SOAs are very rapid as is c, this is a relativistic connectivity, as if a stick connecting the patterns was moving at relativistic speed v. It is therefore no longer in the inertial frame the mind is used to and that all other observers would agree beforehand is stationary. It is in a different frame and subject therefore, to the same principles of time dilation and contraction of length as the Fitzgerald and Lorenz contractions (see above). The new virtual frame can be considered to move to the left in a direction parallel to the length of the imaginary meter stick, of course it doesn’t, but the 2nd Kanizsa triangle shifts rightward as if it did, by an amount which ought to agree with the Fitzgerald contraction x l, l the length between 1st and 3rd Kanizsa triangles contraction. Because the rightward most part of the moving stick is the Kanizsa triangle illuminated last (3rd flash), I contend that it is this flash that causes the change to the new frame, which is therefore in virtual motion from right to left. The illusion noticeably occurs at all because the second flash sets up the expectation of non-movement but whose ISIs are small enough to entangle it with the 3rd triangle. 3To my knowledge, Ito et. al. did not calculate the amount of movement but did specify the angle parameters which influence the displacement (saltation). The first triangle did not displace because the ISIs were twice the ISIs between 2nd and third triangles.
Ito et. al. also suggested that the saltation effect had a quality of post-diction in that the third flash seem to determine the mind’s perception of the previous events. The phenomenon is in fact, consistent with the explanation provided above, and while it needs to be confirmed by subsequent research, I will dare elaborate further on this matter now. This elaboration incorporates the phenomenon of quantum entanglement [2, 5] which the mind uses to make sense of properties of particles. A complete discussion of entanglement can be found in the reference material cited and will not be recapitulated here.
3. Special Relativity and the Brain
The confusion with regard to post-diction involves an observer in one frame, observer A (which we will regard as stationary) doing an experiment to synchronize clocks at each end of a meter stick in his frame, observer B’s experiment to do the same thing in his frame B, a frame which is moving parallel to the sticks length relative to A, and whether A is entitled to regard his observation of B doing the same thing, as the same experiment that A is doing in his own frame. Up to very recently, there was no question of this; the constancy of c and the conclusion that v had to be <<c made sure of this. But if the laws of physics are to be the same everywhere AND nothing can exceed c, either A and B are in different frames doing the same experiment and neither can say anything about the other (being that nothing can exceed c), OR by observing B in B’s frame, A is doing something different such as rotating his frame, which implies that A is altering conditions with his method of observing B.
Lets review the rules of special relativity as explained by Mermin [12]:
Rule 1. A stick moving with velocity v has a length equal to its proper length

Rule 4. If two clocks in their proper frame and moving with velocity v parallel to the line joining them, then the clock in the rear is ahead of the clock in the front by an amount lv/c2.
Rule 5. If two clocks synchronized in their proper frame are moving with velocity v perpendicular to the line joining them, then the clocks are still synchronized.
If we accept the notion that nothing material can exceed c, post diction seems to imply faster than light communication of information, and we are left with a contradiction, for in the case where v is perceived to be greater than c the Fitzgerald/Lorentz solution gives imaginary numbers. However non-material things like photons are not imagined. If you look at and accept the way the preceding paragraph frames consciousness (as being in a separate frame, a frame all its own) you cannot help but conclude that human consciousness must also be factored in and accounted for to allow consciousness to enter and exit moving (different) frames.
This reopens an entire vista of bold assertions: If Fitzgerald/Lorentz is incomplete, is quantum theory incomplete? If quantum theory is incomplete, then there are hidden variables, but if there are hidden variables AND c is not the upper limit of speed in the universe, both Einstein’s EPR and Bell’s conclusions need to be revisited. What does all this imply about the existence of a creator?
The fact that the light clock in question breaks and can no longer measure the passing of time under the peculiar circumstance where v>c is a failure of experimental design, not necessarily of the laws of physics. In the presence of a consciousness, time does not stop or run backward, but the order of things may appear to be reversed and physics is still possible if it is understood that nothing that consists of matter can travel at c. Yet v<<c has been so integral an assumption that it has simply been taken on faith to always be true. It cannot be true unless for A to enter B’s frame to make any observation at all about what B is doing and still be in his own frame, he rotates his frame (changing the conditions) or uses a different clock such as an entanglement clock. Therefore, in the act of observing he alters the conditions of the experiment by entering a different dimension of space/time. This means any attempt of A to observe Bs experiment in a frame other than B’s frame is a different experiment! In other words A, in observing B in his frame from A frame is not observing the same experiment as B is in his frame or A would be in his own.
This is seen in a simple but very elegant way in Kanizsa triangle experiments. If I, as observer A, am doing the same experiment in my frame as observer B is in his frame, three flashes would be done all at the same spot equidistant from my eyes and would hit my retina perpendicularly without displacement (no saltation). There is no longitudinal (displacement) aspect to the flashes and since sin 0 is zero, I am technically able to consider my mind to be in a stationary frame with regard to the sources of light, whether or not the sources of light are in a moving frame (such a satellite moving in a stable orbit relative to me). When the patterns are offset however, there is length as well as time (SOA and ISIs) between flashes. It is as if one frame or the other rotates by angle ?, creating an angle of approach that gives rise to a longitudinal (lengthwise) component. If the SOAs are set just right, a la Ito et.al., it will prompt the mind to change frames or if you prefer, view the light flashes as if they were in a frame moving lengthwise at an angle relative to me. In this way, it is possible to get a glimpse into how the mind thinks and perceives reality. It reflects the frame of my own consciousness, which I contend is in a frame different from my body and the background in front of me. I observe B’s experiment, which is performed in his frame from my frame (which is just my consciousness, or ‘the little guy in my mind’ sitting in front of a huge screen, if you prefer to regress to such a visual) but moving with respect to B. I see flashes of patterns no longer parallel to my line of sight (coming at me from the z axis) but patterns offset to the right (depending on the design) with displacement of the 2nd Kanizsa triangle in the direction of the 3rd AND (apparently) faster than light communication of the direction of displacement by the phenomenon of post-diction. This happened because the 3rd flash was able to, just at the right SOAs, align or entrain the patterns with my mind to mimic or simulate a change of angle such that it is now reflecting my conscious mind (or ‘riding with it’, if you prefer), not its content, my thought, but the moving frame of my consciousness. Of course, none of this could be done without involvement of relativistic speeds of the motion of electrons etc. in the brain; components of consciousness and c.
It is never intuitive to think that someone in motion at very high speeds lying down lengthwise in the direction of motion relative to a stationary observer is shorter and that his clocks run slower. Indeed, the idea is so delightfully offensive to common sense that few words in the lexicon can adequately describe what is meant by literally changing frames and how such a thing could unfold. The rules of special relativity are so strange that anyone who overlooked this semantic imprecision might be forgiven. But properly defining terms is not just a linguistic or semantic exercise, it is an explanatory method like algebra, and when it cannot explain, it informs science where to look.
Einstein was cognizant of this discrepancy since he went on to subsequently proffer his theory of general relativity which for this situation and many others, provides explanations that reciprocally and completely complement the rules of special relativity. Still no accounting for consciousness however, as it is always just assumed to be in the same frame the body happens to be in.
4. A model for Consciousness
Let’s review the above in terms of a little thought experiment and the algebra involved in order to illustrate. Suppose I am observer A and I am with observer B in the same frame of the experiment which we both,must agree is an inertial frame i.e, stationary relative to both of us. In other words, if one or the other disagrees, then we are not both in the same frame as the experiment which we will call ‘the train’. Suppose a meter stick in the lab is attached flat on the floor length wise and the train is set in motion to velocity v in the direction parallel to the length of the stick. As the train moves along, the conductor states that this train is traveling nonstop and therefore will not be making any stops at any stations in between its start and destination. The train travels through a station where a beam of light flashes right as the midpoint of the meter stick passes by it. Realizing that this is my stop, I jump from the train and land under the light post just after it flashes. The beam travels in either direction to the ends of the meter stick and hits a photovoltaic device at both ends causing each to light up. I watch B with my naked eyes turning my head in pursuit of his frame, the train frame, as he waves and gestures at me that the devices are clocks and since both lit up exactly at the same moment, they are precisely synchronized. But I am no longer in his frame and so I disagree. I call him to tell him this but insists that a given time has now elapsed and the clocks are still synchronized. I tell him that this can’t be the case but alas, there is no talking to him anymore and I cannot disabuse him of his fixed false beliefs. It is what is true for him and nothing can persuade him otherwise. During the time it took me to leave B’s frame, four things happened; I decelerated massively and came to rest under the light post exactly as the midpoint of the meter stick passed by it and the flash of light went off. So what did I see? Having massively decelerated I saw, in following the meter stick by turning my head, that it traveled past me with velocity v and its length therefore was contracted by the Fitzgerald contraction to 75 percent of what B says and furthermore his clocks run slow by the Lorentz equation factor as well. In addition to that, he says both clocks read time zero when they lit up and are therefore synchronized but having massively decelerated, I know better. I know that the light beam had to travel farther to reach the far end clock, the one situated at the front end of the moving stick since the train had advanced a distance vt by the time the light beam reached that clock. Since c is the same for all observers and the clocks are in the same frame not only do I know that his clocks run slower than mine, I also know his clocks are not synchronized; the front clock is behind the rear clock by lv/c2 time units.
Now if he had jumped off the train with me and had so massively decelerated, he would have realized that the force of such deceleration, were he to have survived it as I did, caused him to exit his own frame, the train frame and enter a new reality, one in which his time is running faster, the train and the meter stick is contracted and as he follows the train from his new position, the clock in front is behind the rear clock even though he said they both read zero before. As it is however,
I know something about him that he doesn’t know about himself although it is possible for him to know, and that is that the massive deceleration that I experienced caused the time on the moving train to slow down (dilate) relative to me, an effect that was greater for the clock in front that the clock in back. Since I am at rest now the effect is complete and the clocks for me remain out of sync with the front clock behind the rear clock and so although they both keep the same time now, they are not synchronized while he insists they are synchronized. The only way we can both be right is if the deceleration caused a warping of spacetime in his frame relative to me such that the front end of the stick became curved relative to the back end and then remained in place when I stopped decelerating. Now, I correctly maintain that his clocks are out of sync because of the curvature of time in his frame moving relative to me while he correctly but naively insists they are synchronized. Naively, because in the space of knowing what his clocks read in my frame and his not knowing what he could know about my frame, all manner of mischief is possible. Not really but stay with me.
For example, if he rolled a golf ball along the meter stick towards the front of the frame expecting it to reach the front clock at time x, and both clocks for him are in sync, since his clocks run slow and the front is behind, if I were able to continuously observe his frame from mine, I would see it unfolding before he did as he and the golf ball move along an irregular curve which effectively and geometrically causes him to slow down but which for me is not a curve but a direct line from one end to the other, then interdict it by reentering his frame, scooping up the ball, opening a trap door and disappearing from his frame once again. In other words, because of spacetime curvature caused by him being in a different moving frame relative to me, I might influence by predetermination or postdiction events he believes as not having happened yet or that have already happened. Of course, if he knew what I know, he could do the same to me from his frame. For this reason, among many others, I know this is not actually physically possible. It is impossible (with the current techniques), of course then, for A to physically enter B’s frame and observe him. To even observe him from his own frame requires tilting (changing frames) but this alters the conditions as I alluded to it. Yet this fact is glossed over in the analysis of time, not by the Fitzgerald/Lorentz equations which are correct but by stating B’s front clock is behind the rear clock by lv/c2 with no elaboration that for that to be true A must change (tilt) his frame (General relativity corrects this problem mostly, but still leaves out of the discussion the role of consciousness).
5. Limitless Mind: Quantum Entanglement and its Implications
So what is possible? What I am proposing is simply the familiar idea that how human consciousness (the mind) experiences time varies at any given moment. What this means is consciousness itself exists or can exist, in a different frame from its environment. Furthermore, how the mind interprets time at any given moment (how it varies at any given moment; read the sequence of events) is potentially measurable and accessible to observation; the mind therefore, is subject to weird influences, some that are illusions (not new), and some that are not, ‘spooky action at a distance’(new).
For clarity, it is the coordinates of space/time on the y axis, physical length on the x axis, that has to warp so that B experiences time the ‘normal’ way in his frame; both clocks read the same time and advance linearly so the plot of his coordinates along the x and t axes is a straight line with slope of v. I on the other hand, having decelerated, know that the (his) plot during my descent is an irregular curve elaborated algebraically as x2-t2=1, with the result that at the end of my deceleration his clocks are not synchronized nor keeping the correct time. I, being in a new frame, can no longer say anything else but don’t care to, that alone is sufficient,
The elegant clarity in which Ito et. al. laid out their Kanizsa triangle studies is undeniable and will be utilized to great effect here. Of sublimity is their study of the effect of rotating the triangles in 2D. We already mentioned the rightward displacement of the second Kanizsa triangle to be consistent with the physics of moving frames and Fitzgerald/Lorentz but what about clock asymmetry? When the third illumination is of a Kanizsa triangle offset and rotated to the right, the second triangle appears rotated (which wasn’t initially) as well as being offset in an intermediate position to the right. This persuasively illustrates the physics of moving sticks outlined in the preceding paragraphs; in addition to being contracted and dilated by Lorentz/Fitzgerald, clocks in a moving frame are not synchronized so that if a ‘clock’ on the rear of the stick (Kanizsa triangle 3) is at a certain angle, the clock in front (Kanizsa triangle 2) will be behind it (or at a different angle of rotation). Whether one considers it to be behind or in front will be a matter of the proper assignment of direction. Insofar as the third flash appears last, it is considered the trailing end; you might correctly argue that the displacement happened after the third flash, but that is an illusion.
Let’s recapitulate the interpretation. During the presentation of Kanizsa triangle patterns, the mind is in transition, changing frames from its heretofore inertial frame to a moving frame. The change is not complete until after the end of the third flash. It is at that moment that a post diction event occurred, an apparent faster than light communication of information because the mind was switching out of its stationary usual frame to a moving one. Nothing spooky or magical happened other than the mind’s ability to switch frames, enter and exit frames without any noticeable requirement of acceleration/deceleration. The process is unconscious and thus for the most part involuntary, but all observers in the frame of the environment still agree that the second light occurred before the third and after the first. Faster than light travel of information only appeared to happen because in jumping off the imaginary train I instantly came to rest at the station, experienced time and saw in a way I would not have been able to otherwise: the train frame from another perspective, one in which it now moves with respect to me. But if I know something about B’s train frame (from the Kanizsa triangles) that B doesn’t know about me, the train’s conductor (say hello to the little guy in my head again), being a wise man, certainly knows; that I in my frame have no privilege over any other frame, therefore he and everyone else on the train can view me as moving with respect to the train, thus in my deceleration which began after the illumination of the third Kanizsa triangle, it is I who lost time, slowed down and followed an irregular curve representation of space/time during which time the 2nd Kanisza triangle moved to the right and rotated. If perception is a feature unique to consciousness, perhaps space/time should be called conscious/space/time. Whether it’s considered an illusion or not, Kanizsa demonstrates a feature of consciousness that may be conceptually valid; the mind can change its frame without the requirement acceleration.
But let’s look at an alternate explanation using Minkowski [12] diagrams to see if it agrees with the one already given. Minkowski graphically illustrates the rules of special relativity in 2 dimensions, a simplification to be sure, but Occam’s razor says the simplest explanation is usually the correct one. In that spirit, we go back to the satellite example as it passes directly overhead. The first two flashes will essentially be at a right angle to any observer in the overhead position and therefore will, with the proper ISIs, appear one after the other in the same location, therefore no longitudinal component, only time dilation (if any) is a relevant factor here, which would not be helpful for the reasons stated earlier. The third flash is offset, as if the satellite has passed from the overhead position; now there is a longitudinal component, even though the imagined satellite may not have changed from its stable orbit (Whether it does or doesn’t is not important; it may not, perhaps it is a meteor-what does your imagination say?). What is important is the mind’s perception of it in terms of the meaning it ascribes to the third flash, which causes the displacement illusion of the 2nd triangle. The mind views the sequence of events as if it was viewing the first two flashes from a frame perpendicular to the satellites’ frame. Retinal eccentricity (peripheral field of vision) of the third flash appears to trick the mind into thinking the frame is in motion, enhancing the illusion, a finding confirmed by Ito, et. al. My contention is that objects suddenly presented in peripheral vision mimic accelerated motion along the curvature of spacetime. The set up is that the 3rd flash be offset and therefore the correct measured distance between the 1st and 3rd patterns would be length l, in the mind frame of the plane of the paper which is just the environment. When the 2nd illuminated pattern is added, it entrains the mind to expect all subsequent flashes to originate from that frame (viewed perpendicular), If there had been no second flash there would have been no illusion at least none perceived by the observer (study participant). When the 3rd illuminated pattern comes in at an offset 26.1`degrees, as it was according to Ito et. al., the mind is caught off guard, tricked into momentarily and involuntarily thinking the frame has changed. In that brief span of time you have managed to introduce contracted length, into its frame creating the illusion of displacement or moving frame. Since most study participants perceived that the frame that was before changed to a moving frame, length l must contract by the amount given by Fitzgerald/Lorentz which is the illusion. This is geometrically illustrated in the Minkowski diagrams which indeed agree with all other explanations proffered thus far in this booklet. Since Ito used rating scales to measure the displacement rather than a ruled grid along x and y axes, a direction of future research may be to measure the physical displacement then in turn compare those to Fitzgerald/Lorentz to provide an estimate of v. This is a phenomenon of quantum entanglement demonstrating the ability of mind to change frames with the proper inducers, without need for acceleration or mind- altering substances. If the mind can do this, what else is possible?
6. Star Trek and the Starship Enterprise
Let’s revisit now the bold assertions from earlier. There is a logical mismatch in concepts that we need to get out of the way first which might help us interpret things. If in fact quantum theory is complete, i.e. a complete description of the universe using probability theory, what accounts for quantum entanglement? If there are no hidden variables, then quantum entanglement is indeed very puzzling because the very observation that an entangled particle can influence a particle with which it is entangled by ‘spooky action at a distance’ suggests, as Einstein insisted, indirect evidence of some sort of pre-determinism. I believe the answer may lie in the semantic imprecision and lack of proper definitions that I alluded to earlier. Recalling that the way the mind keeps time varies according to a panoply of differing conditions, it is this phenomenon that holds the key, I believe, to properly interpreting quantum entanglement. With the Kanizsa triangles it was possible to simulate a moving frame similar to mind frame. It was as if one could peer into the inner workings of one’s own mind and ride shotgun with it in its frame. Because nothing, including the particle constituent imprinted in the mind of contours of Kanizsa can travel at light speed c, the 2nd Kanizsa triangle had to appear to move rightward by the mechanics elaborated above. The 2nd Kanizsa was ‘post-dicted’ by the third, in reference to some sort of pre-determinism. But if you had taken this to mean the determinism of Newtonian mechanics then you would have run into trouble and massive confusion would ensue since there is no way to explain what just happened.
This had to happen however, to keep the laws of physics consistent everywhere lest physics itself become impossible. When the mind shifts into a different frame as it did, it must yield something to the material universe; what it yields is the illusion of displacement and postdiction. Imagine a vehicle with a stick shift requiring a clutch, perhaps a quaint notion in the modern era. When the clutch is utilized, the engine disengages briefly from the transmission to shift into gear. Likewise, the mind disengages from the prior frame and in that time space of disengagement, it becomes disconnected from time (meaning temporary disorientation about the sequence of events) even just for a near instantaneous moment in order to begin perceiving length and time of the physical world from a new angle (frame) even if that frame of perception only lasts a few ms. The new frame is one in which the Kanizsa triangles are in virtual motion. This means that the 2nd Kanizsa MUST appear to move to the right or violate the rules of special relativity. In a universe of material things, the mind must bend to the rules and laws of physics governing material things and in doing so, gives up the sequence of virtual events as it were. The consequence of this is that order is preserved for material things. If this were not so, the universe would be incomprehensible. As it is, the mind appears to strike a deal with the physical universe whose efficiency results in very little, if any, apparent consequence to either. In actual fact, the mind need not give up anything except its own ignorance. If the quantum physical explanation proferred here is the correct one, then there is no reversal of the sequence of events either. The first flash occurs then the second and third light flashes, causing the shift of mind frame(4th event) to a moving frame resulting in the final event which is the displacement illusion. Postdiction and the apparent time order problem13 are all part the illusion; there is no postdiction therefore, only prediction, the laws of physics are not violated and science is still possible. My contention is that when a particle is entangled with another, a similar process happens, a particle enters the frame of the observer and in so doing, the mind in effect, changes its frame. Following the principles of relativity and other laws of physics in that circumstance gives rise to all kinds of weirdness and ‘spooky action at a distance’ that appear to violate the laws of physics, and relativity, but actually do not.
For example, if one particle has a positive attribute or property then its entangled twin is viewed as having the opposite. If the particles are separated, they are now at minimum, connected by the property they are entangled with. Entangled particles spin separately but they also might spin together in a coherence frame connecting the two. With that connection AND the frame’s interaction with conscious observation, it might behave like a spinning frame or a particle/wave cloud, so that when human consciousness in the form of an observer enters its frame to look at it or if you prefer, it enters the observer’s frame, it must now follow the manifest laws and rules of physics. As the mind switches out of its usual frame in which one particle is synchronized in a state of quantum indeterminacy with its sister particle, into a new frame, a frame of observation, the particles can no longer be viewed as synchronized. In the frame that formerly was the unobserved particles, in which coherence must remain, for there to be any ‘spookiness’, the twin particles cannot be synchronized anymore and MUST take the opposite spin for the reasons stated. My conjecture is that the second particle must also, by the principle of rotational invariance12, move towards the first or exert a very minute force against the observation stage in the direction of the first. Thus, it is the very act of observation (observation meaning from a frame other than perpendicular) that gives rise to spookiness. The frame change follows from the equation for scale change, which may be simplified as x2-t2=1 in the Minkowski diagrams.
No scenario here is inconsistent with hidden variables, unless you take hidden variables to mean the determinism of Newtonian mechanics. As for c, suffice to say that nothing material can exceed c, hence Fitzgerald/Lorentz is always stated with the requirement that v<<c, but imaginary numbers allow for that possibility or the possibility that a different descriptive mathematics is needed. Ah quantum fuzziness again, v=c gives the result of infinity, a concept not a number. Thus, imaginary numbers may imply a cloak of unreality, or nonlocality if you will, such that at some point in spacetime, the particle which is in a state of existential duality, indeed whose entire frame may be in such a state, could be expected to be observed somewhere either at a location or with a definite momentum and at v<c. It is generally accepted in the scientific community that nothing can exceed c.
We return to the Minkowski diagrams. Suppose the entire frame is in rotation through space with stable angular acceleration or just simply is in stable linear motion. It would require considerable mental gymnastics to visualize such a proposition in 3 dimensions as it is, but unsupportable with the Minkowski diagrams. Yet, something like this must be happening with entangled particles. If they could be so represented, they’d be synchronized in a Minkowski frame all their own not visible to us, waiting to be observed at an angle(s) 0< θ < 90 degrees. as opposed to perpendicular (exactly 90 degrees). Most pass through spacetime unobserved, a few, hit the screen of scientific observation with a + or – attribute, causing the sister particles to instantly take the opposite spin and the entire frame to contract by Fitzgerald/Lorentz. But predetermination here is in a sense nothing but epistemological; the prior knowledge that such particles exist at all. Does this really count as ‘hidden variables’? If the ensuing information meaningfully advances science, yes.
7. Faster than light or mind in motion?
So did faster than light communication occur or was this just an ‘illusion’? It would not be incorrect to call it an illusion but were such a thing as a massive acceleration to a relativistic relevant frame possible, it would not be an illusion; as it stands, it is, dare I say without further comment, another tribute to Descartes and Cartesian duality.
Another way to look at it perhaps would be to view it in terms of scatter of light against the patterns, this seems to induce a quantum indeterminacy to the mind that enhances the rightward offsetting. The mind doesn’t precisely locate the pattern but only the contours of it, which has been consistent with saltation illusions in other sense modalities. In addition, the fact that saltation occurs across different sensory modalities speaks against it being a feature of one of those sensory modalities or environmental inputs and rather, taken together infer a major role for quantum indeterminacy or nonlocality as a sort of mind scaffolding at minimum, in the saltation illusions.
Despite all illusions, the information gleaned from saltation in any sensory modality, far from being useless, could be of great utility. Psychologically, we call this changing one’s point of view, achieving enlightenment, reaching higher levels of consciousness, changing perspectives, modifying one’s blueprint, reframing one’s thoughts, cognitive restructuring, etc. and is the basis for many if not all successful psychotherapies and a few psychedelic pharmaceuticals. Few can challenge the reality of that.
Refer to the discussion in re quantum entanglement. The flashes of light are polarized photons in a state of entanglement with each other. The photons travel together seemingly as ‘particles’ in sequence in the same frame (recall, the constancy of the speed of light), thus, a coherence frame of space/time simulating a moving frame of physical things such as meter sticks connects the photons. As long as this is the case and they move through space/time unobserved, the photons are in synchrony, essentially travelling as a wave. When the patterns are illuminated in sequence, it draws out this virtual connection or frame and the mind being with its own frame, sees it in apparent motion. Hence there is the appearance of a rightward displacement not of light but of the illuminated pattern. Since light travels much faster than the mind can see, what the mind captures is the coherence frame, a reflection of the mind itself traveling relative to the patterns; remember that light travels in every direction, it is only the illuminated patterns that appear displaced in a particular direction which entrains (entangles) the mind in virtual motion. The entangled photons which were there all along, now appear unsynchronized as particles must be by a factor of lv/c2, by virtue the mind’s briefly changing frames, but how can photons traveling at c appear unsynchronized if the speed of light is to remain constant for all observers? They can’t, they can only transform by absorption into a different state of energy, a state of mind energy reflected by the conscious observer. The ability to change frames requires energy, and is by the absorption of energy by electron (electron here is a stand-in general term for brain particulate matter) constituents of the mind and so hence the illusion of displacement and its corollary, post-diction. Since the illusion is involuntary, my conjecture is that it is the result of retinal eccentric absorption of photons by the retina of the time interval (ISIs) required to push the mind into a changed frame, one in which there is the perception, albeit brief, of Kanizsa tringles in motion. Of course, physiological processes, nervous system pathology, and pharmaceutical agents could also create these or similar illusions and hallucinations.
8. Mind overrides matter
An entanglement phenomenon of patterns illuminated by light photons, created by the proper ISIs and triangular patterns would create the specific energy requirement for this fleeting involuntary reflex, much as when, in its most simplified of scenarios, electrons absorb or emit specific wavelengths of light energy as they move to higher or lower nuclear orbits. But the mechanism need not be from photons. The same phenomenon is observed in auditory and cutaneous saltation so the energy provided must be neurophysiological. What it amounts to is that when the mind is entrained to expect events to occur in a frame, whether stationary or moving relative to the habitus, neurons in different brain locations are recruited depending on whether motion is perceived or not. This has been known and confirmed for many decades using fMRI,
PET, and SPECT imaging techniques. So the moving mind frame behaves differently because the mind itself with its particle constituents is moving differently in the brain, accessing memory, experiential and executive (prefrontal), hippocampal and cerebellar neurons. Moving differently means it changed frames, involuntarily in the case of saltation illusion. Could this be what is meant by memory traces, by thought itself?
If this is the case then, what happens during the time the mind changes frame or shortly thereafter? The illusion of post diction. If you recall that nothing can move faster than c, the only way post diction (whether or not it is faster than light, a matter for subsequent debate) could happen is if information travels in a medium other than spacetime. Light energy is its own medium through which information travels, without violating Newtonian laws or Einsteinian rules. Entanglement of photons, being massless themselves must be absorbed somehow by something that is not massless. When they are ‘found out’ by observation, the energy transfer is an information transfer and puts the observer in a state of mind reflecting the change of information whereupon the photons are absorbed and swiftly dissipate. This had to happen to keep c constant for all observers. The photons, being entangled with Kanizas patterns and with particle constituents of the mind had to be absorbed and disappear, otherwise you could identify the entangled photons (as particles of mass) one from the other before observing them, a clear violation of speed limit c. Yet the information, the understanding of the underlying processes you got in the exchange was an illusion too? I reject this claim for the reasons stated above and a few others. The knowledge gained in the exchange, virtual or psychological though it be, has tremendous utility and is potentially actionable. That is powerful.
In Heisenberg’s uncertainty principle, the uncertainty in position is elaborated by Δx Δ≥ h/2
h = planck’s constant. The principle essentially says that the combined uncertainty of position and momentum cannot get lessthan . The phenomenon of quantum entanglement gives rise to the possibly of ‘solving’ (reducing) Heisenberg’s uncertainty principle in the following way: If you know photons passing through a certain pattern become entangled, say Kanizsa triangles, so that photons from 2nd Kanizsa triangle are entangled with other photons of the 1 st and 3 rd and you know its position at any given time, then by observing the position and orientation of the 3rd, you can predict the velocity (direction of motion with time) of the 2nd Kanizsa triangle, but this movement is dismissed as an illusion as it must be, since the photons are absorbed and swiftly disappear.
If instead, you have a particle of mass traveling through spacetime, it then could be observed with a definite location by an observer looking at it perpendicularly, as well as with a definite momentum by another observer viewing it from an angle, a tilted frame of relative motion. In this way, and by the principles of invariance of coincidences [12], two observers must agree that an event of a particle with mass occurred at a location with a definite momentum. Many observers observing simultaneously from different angles and with repetition would mitigate or abolish Tau effect variances of retinal eccentricity illusions, lending the greatest accuracy to measurements at angles other than perpendicular to the frame under observation, which if done by a single consciousness, would always and of necessity be considered an illusion because of the speed of light c.
The lowest uncertainty even with multiple observers would seem to be h/2 but if that also happens to be close to or be the radius of the smallest particle, it would suffice. You could never get it to zero (and wouldn’t want to) without absorbing its energy, which means it either decayed rapidly, as a virtual particle or was an illusion. Thus, in the case of the smallest particle, absorbing energy from photons would only increase its vibrational energy; hence the smallest theoretical uncertainty of Δx, is h/2. The most precise measurements of the uncertainty could be studied using laser to minimize scatter.
Now we hypothesize that there is no post diction as it were, only prediction, a useful conjecture here, as it turns out, for the uncertainty principle since although you cannot observe photons entangled with each other before the light gets to you, you can observe them as distinct from one another after the light illuminates something else and thus predict where the thing will end up. If Kanisza tells us anything, it is that if you know the position of a pattern illuminated by a photon (whose term we will approximate with ‘entangled photon’) you can predict where it will be displaced, since you know the direction of movement will be toward the third flash with a particular speed v.
We take now the general case where photons of light are reflected off a line of atoms forming a lattice. Here light rays hit the atom(s) at angle θ, are absorbed and reflected out by emission in a manner such that i=r, in other words, the magnitude of the vector of the incoming beam is equal to the magnitude of the vector of the outgoing, reflected beam with the result of no energy being lost. It is the uncertainty in angle θ, the incident angle, that turns into uncertainty Δx in its position along the x axis. Can we reduce this uncertainty to as close to zero as we can and capture a particle’s momentum p and its real time position with better precision? Is it possible to imagine such a scenario in the case of massless particles and extrapolate the results to other particles? We can approximate the lattice situation above by the equation: 2dsinθ = mλ where θ is angle of the light beam. We know from Heisenberg that incident light absorbed by a particle (with mass) will impart information regarding its location with good precision. What you are attempting to ascertain is whether or not there is an amplitude with just enough energy and incident angle to provide information about both its momentum p, and its location x simultaneously. If the width of the smallest particle can be taken to be h or some multiple of it, then note that although h has a y and z component as does the photon, it is only h’s component along the x axis that interests us.
Kanizsa shows us it is possible for, say, even a single photon to collide in such a manner with a particle to yield information; it is then a matter of experimental design. Imagine an electron or some type of particle shot out of a cannon or some such device; if it can be made to follow a catenary, the general formula10 (St. Louis Arch is based on a hyperbolic variant of this known as cosh), is given by

where b is the y coordinate at the midpoint. If the particle collides with the lattice of atoms at the exact midpoint, x=0, it does so at a derivative or slope of zero thus optimizing the probability that it kisses the lattice without falling off its trajectory. If approached perpendicularly, the particle can be imagined passing through the lattice. A cubic given by y=x3 whose inflection point (where the particle is deflected by say, a magnetic force) about the origin may produce the same result.
Thus, a potential and rather definitive solution to Heisenberg’s uncertainty can be imagined if the particle in question is sent along a path, be it a catenary or through a microscopic tunnel or tube that produces wave maxima and minima along a longitudinal axis. Here, due to the peculiarities of ‘waves-particles’, maximums and minimums would occur in alternating fashion every half of a wavelengthy, λ/2 instead of every quarter. But note here that because the particle is indeed space occupying and has mass, the minima would not be null but would be the exact location of the particle along the trajectory given by the subsequent series of minima each separated by λ . In such a scenario, you could clearly identify both its location and where it was headed, ie its momentum.
The particle wave function is typically expressed as transverse (sine) waves with wave function Ψ(x) using complex numbers as exponents of e with an associated probability P(x), which because of its complexity (use of imaginary numbers) yields by its absolute value (squared), complete positional uncertainty for states of definite momentum (cases where Δp=0). These functions (Ψ and P) then both collapse as the position of the particle in question is identified. What if however, in the case of particle formation out of energy, the two halves fuse into a single wave along the x axis in a manner not described by complex numbers as exponents. This could be because themedium through which this quantizable energy travels prior to becoming a fused single particle is not spacetime but light itself, effectively resulting in an addition of their waves traveling in longitudinal fashion in their medium of photon particles. Then they would behave as longitudinal waves (e.g like sound), by adding to each other to create mass, resulting in a single particle or matter and its anti-matter complement whose matter constituents, having mass, only then behave as sine waves with complex exponents moving in spacetime, as they pass through double slits to yield an interference pattern. The process known as ‘pair production’ involves the creation of subatomic particles and its antiparticles from neutral bosons such as very high energy photons in just such a manner.
If the diameter of the smallest quantizable energy wavelength is h/2, you can imagine a sister packet of energy of the same vibrational wavelength necessary to quantize matter at a diameter of length h/2 in superposition with the first forming a single particle with radius h/2 (diameter h). The whole would constitute the smallest particle possible and the force of entanglement between the two halves, seen as the color force or strong force, massively increasing with distance if the two separated. This may be another way to imagine obviating the uncertainty principle without fission, i.e. by literally putting one side by side or on top of the other, or in an otherwise enmeshed and entangled state together in literal maximal entropy. The combined result would be a single real particle of radius h/2 with the smallest theoretical positional uncertainty Δx = h/2.
If a light source were traveling at very high relativistic speeds, the angle of a light clock could theoretically be reduced to zero, but of course nothing material can travel at light speed, thus the smallest angle possible is likely to be on the order of the Planck length. In such a scenario, if you were able to synchronize the E/M waves as with laser light, to be exactly synchronized (on top of one another) and the combined amplitude and frequency fit the Planck length, you would get a situation where, if the light were reflected back on itself with a mirror in a frame moving toward the light source (or light source moving towards it), blue shifted light would reflect in sync and in superposition to the light emitted from the light source.
Recalling that E=hf, the electromagnetic energy requirement for this could again be studied using laser to provide an inflection point, or estimate thereof, of the frequency of E/M energy needed for formation of matter which should be in agreement with: E2=m2c4+c2p2 or with its non-relativistic companion E= mc2+ p2/2m. Now if the uncertainty is relatable to frequency which is proportional to scatter, and the lowest uncertainty is h/2, then energy E is relatable to it via a proportionality constant k where k is the measure of additional uncertainty (comprising Δp Δx ) from scatter. In the case where Δp=1.

The energy contained within a unit of mass, mc2 might therefore be expressed in statistical terms as a probability density following a gaussian distribution curve with a standard deviation denoting the probability of finding energy dense regions as a function of distance from the center of point of maximum density Δx.
One can imagine photon packets as spheres of electromagnetic energy spinning or rotating about a wave amplitude or given radius R. Frequency and wavelength in this scenario would be determined by the velocity of rotation with longitudinal motion manifested as the familiar sine wave traveling at speed c. If light particles are imagined to exist in this fashion, they are not waves at all but only particles, their wave like behavior fully explainable by their rotational energies, giving rise to the patterns of reinforcement and cancelation seen in the double slit experiments. Now imagine lasers directed at each other or alternatively, a super frame of light source rotating about itself with radius R and angular velocity ω. How fast would it have to be rotating for the light waves emitted from it to cause quantization or pair production? How much energy would this require? For one thing there is no theoretical limit on frequency only on velocity so by reducing R you could get the frequency as high as you needed while presumably minimizing the energy requirement. It would have to be rotating fast enough that emitted light could double back on itself in an additive manner as described above. The maximum speed anything can travel is of course c, but as I specified earlier this dilemma may be obviated by the use of reflective surfaces much as when energy requirements are minimized in a particle accelerator by firing particles at each other or a center frame rather than accelerating a single particle.

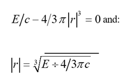
This says that for any given frequency f of period T there is an acceleration that gives rise to a unique |v|, an instantaneous tangential velocity of 2πr/T. Notice there is no limit on T, only on v, but if we set T=1 then we deduce that v= 2πr which is just the circumference of a circle with radius r. If you wanted to know all the possible ways that a and v can vary for T2=1 in 3D it is the surface area of a sphere 4πr2 for T when T=1. But at the end of the day, what we really want to know, irrespective of any notion of time or periodicity T (T still=1), is how these things vary when r varies as well which, via integration of the surface area, is V the sphere’s volume V=4/3πr3. The situation in which the light beam “doubles back” on itself as it were, is one in which frequency or periodicity is induced to alter as well, so we must multiply this result as a function of T and integrate again:

You can imagine a sphere with vector radii oscillating synchronously and in unison like a beating heart, simulating uniform contraction and expansion of myocardium. However, in the case of E/M energy the situation is likely akin to ventricular fibrillation or “bag of worms” contractile activity. Here the oscillation are asynchronous and all of the map, a map bounded by radius r.
This is, it appears, a hypersphere or 3 sphere in 4D space. It’s motion in a longitudinal direction at speed c giving rise to an infinite radius along such axis satisfying the condition of it being closed and compact yet connected: a veritable manifold in 3 dimensions that is unbounded.
We would like to know is what the energy requirement for such a configuration, were it a particle of mass, would be for the smallest such matter (fermions), given here non- relativistically as mc2-p2/2m (relativistically the equation looks like E2= p2c2+m2c4). This should tell us what joules are necessary for quantization to occur at the smallest level, some radius say, h/2. If energy is relatable in such a fashion to frequency of oscillations and length Δx as I propose, with T and Δx as the variables, then the proposed energy requirement for a given Δx is: k4/3πr3|lnT| Δx = mc2-p2/2m where Δx= kr. Note absolute values for lnT.
We want the E/M equivalent of a beating heart with a fluid core therefore if, we hypothesize E2 to be the energy requirement, then, E2= p2c2+m2c4 as outlined. Recalling that p2c2 is just the kinetic energy of the particle, then for quantization to occur within the sphere, bounded by the radius of the sphere, (4/3πr3)lnT or some coefficient of it must be set equal to mc2. If we do that the equation becomes:

It must also be understood that the kinetic energy expressed here is that of a particle with mass, specifically expressed as (mc2)2v2 where v is the velocity of the particle, but we conjectured already the sphere of energy to be a suitable algebraic representation of this, hence:

but the energy can’t be negative (we shall not concern ourselves with anti- matter at this time) so we take the positive value only and restoring the variables, we get,

We see that for a massless particle v=c and √1 + v2 approximates to c.
Furthermore, Let’s rearrange the equation and raise all the variable to be exponents of e:

Despite the seemingly complex mathematics, the question is simple: Are there values for radius r, and T such that for a given known quantity of E (representing a particle with mass) their product, the tangential velocity rf, or |2pr/T| to be most precise could actually be >c? Knowing a little about exponential series, my conjecture is that for very small radii, on the order of the Planck length, h (or a multiplier of it, k, a proportionality constant if you will), the answer could be yes.
It is now a max/min problem. Solve the equation for its extrema using r and f as variables. If at any critical value there is an instantaneous tangential velocity >c then quantization would have to occur with the excess absorbed (stored as potential energy) by creation of mass m, for c, the speed of light to be preserved. The difference, represented by adding a constant (in the form of the new matter, mc2) to the above equation then essentially restricts the natural domain of radius r to a real numbers whose minmum>0.
Let’s do some more math. The equation(s) above can be expressed as:
We postulate that quantization occurs where 2πR/T [Eq. (2)] is equal to or greater than c.

You can see that if only absolute values are used, this is another catenary type construct (not consistent with 3 sphere concept). but r≠0, thus R=0 cannot be used as a critical value, yet there
is no upward limit to value of 1/T. We can find the lim , however I believe
R→0
quantization must occur before R reaches this value (yet consistent with 3 sphere conceptualization as elaborated in Poincare’s theorem, proofs courtesy of Berelman, et.al.)15 which would be added in as mc2, a constant of potential energy as previously mentioned. The limit of course is eE/C. It should be readily apparent that E/c is already such a small number that it approximates 0 and e0 = 1.
With this in mind, restate and rearrange eq. (6):

In this case a nonzero value of R such that the sum of exponents E/C − 4/3π|r|3=0 will give the critical value perfectly, since the derivative (slope), of [e0] is zero even though it is an inflection point. It is a perfectly suitable (if only relative) maximum not only for the reason stated but also because of the requirement that R be expressed as its absolute value. We know this because area and volume cannot be negative, and the domain of r is restricted to r≠ 0.
Stating and rearranging the above equation:

If the known calculated mass of an electron is about 9.109 x 10-31 kg, and
c= 2.99792458 x 108 m/s, then its rest energy is given as mc2:
(9.109 x 10-31) x (8.99 x 1016) ≈ 8.18x 10-14
Therefore,

Recall the formula for tangential velocity, 2πr/T; T >0 and there is no upward limit on 1/T. We conjecture that at the point of quantization, 2πr/T ≥ C. Now solve for T:

When conceptualized and restated along the lines of a hypersphere equation, we see that although we integrated with respect to T in eq. (1) to get lnT, we ultimately arrived at an expression for T in Eq.(3) that was the result of an exceedingly tiny angle, a superframe of sorts if you will, that raised everything but T to be exponents of e. Here T became the unitary expression (singularity?) but because we used the aforementioned approximations, we were able to derive R nonetheless and assign it a plausible value.
It then becomes clear that the true singularity if it can be called such, is not T but the product the speed of light c, multiplied by T as expounded in Eq. (2). Here, time cancels out of the equation, and we are left with a value for distance, representing the length of 1 cycle, wavelength, λ, allowing us to assign a plausible value to T as well.
My hypothesis stated again, is that if at any time the tangential velocities, as a result of R or T, 2πR/T= c, in particular in the orthogonal or longitudinal aspects (indeed it occurs there first if at all), then quantization must occur in order to maintain c and as a corollary, the hypersphere (3 sphere character) of photons. This implies that in the final analysis, all forms of energy can ultimately be reduced to massless spherical points, perhaps shedding light on the bounds defining quantum gravity, etc., black holes, topics far beyond the scope of this booklet. For example, if E/M were to conceivably take the shape of a catenary or disk or donut shape rather than a sphere, a high(er) likelihood of quantization would occur (via the principle of simultaneity, and Poincare’s theorem) causing the remainder to resume the form of compact 3 spheres, photons consistent with the particle theory of light. This can be appreciated by once again considering the mathematics:
wherever R< 1,
R> R2 > R3
with the implication (by my conjecture), that Poincare’s theorem would apply. Geometry alone (albeit inelegantly) demonstrates this to be true: a sphere cannot be laid flat without stretching it or drawing it up into a fold somewhere but if the ruffled portion is in some manner removed (quantized in the case of this hypothesis), elegance is restored (Berelman15) , as successive iterations would recreate the 3 sphere form which can ultimately be drawn down to zero.
In this situation, you could get production of subatomic particles of E/M energy with vibratory characteristics of a frequency with some differences reflecting the wave characteristics of E/M energy (transverse waves, thus reducing the frequency by ½)). Out of symmetric wave functions, you get anti-symmetric wave functions (fermions) respecting the Pauli exclusion principle, resulting in the creation of matter in the form of subatomic particles. Such a scenario is imaginable via the phenomenon of the clock paradox12 involving high speed (relativistic) travel. The caveat is that for E/M energy there is no concept of time, as mathematically demonstrated above, time is only relevant for an observer who must travel at a speed <c. For E/M energy, time drops out of the equations and instead the parameter of interest is distance r, or more precisely, the probability of finding wavelength of particular value at a particular location, which (as we saw in a different way with the cutaneous rabbit) can be all over the map, not because of any forces per se (read gravity), but because of speed c itself, frame changes (transverse doppler effect) and resulting asymmetries (clock asymmetry in the case of the clock paradox).
Indeed, the energy requirements to achieve such a super frame of precision for angle θ where λ/sinθ ≤ h and λ=wavelengths are perfectly in sync within each other inside the Planck length h would be enormous. However, because of the principle of simultaneity, such precision could be theoretically achieved in slowly moving frames provided the energy applied was sufficient. If the combined maximal (in step) amplitude oscillated with a wavelength and frequency at or near c, my conjecture is that, since there is a natural limit to E/M energy density, quantization would have to occur because the total could not be contained in the Planck length and would otherwise translate into faster than c conduction about the x axis (a particular direction of longitude) in clear violation of special relativity. Matter is thus created bounded by the beat frequency (surface area of the hypothesized sphere with radius r=h/2). Moreover, the wave couplet must slow down to < c for it to remain quantized as stable matter; this can only happen if there is a systemic energy loss through simultaneous formation of antimatter or by absorption of energy by an adjacent particle which then vibrates away or remains in tight superposition as fermion pairs or triplets (quarks).
From these concepts and resultant calculations, several things are evident and notable:
- If in fact photons are but spheres of electromagnetic energy travelling at speed c, then T or more precisely, 1/T denotes a correlation for the energy of that photon which is correlated as well with its wavelength via c. This is documented by the physics of light and E/M energy generally; higher energy photons have higher frequencies and shorter wavelengths and are found in the ultraviolet side of the light spectrum.
- R, the radius of said hypothesized spherical photons in 3-dimensional motion (3 sphere manifold) represents the wave amplitude of the heretofore sine wave conceptualization of same when the photon is travelling longitudinally.
- If the energy of any light source, laser beam or other, is insufficient to create quantized particulate matter, increasing the wave amplitude R by firing two or more lasers or similar at each other or at centralized coordinates would overcome this obstacle. This is supported logically by the mathematics above but well documented by the physics of pair production alluded to earlier.
- In the calculations done here, we found a max/min value for R based on a mathematical construct involving e, the natural logarithmic base, known as a catenary-like structure where quantization at any given wavelength (frequency) would have the greatest likelihood to occur. If indeed the calculations are correct and quantization occurs, every photon with radius r and r’ less than or greater than R, 0< r < R < r’ either dissipates and/or is absorbed adjacent to the aforementioned quantization or is trapped within the created particle of mass as unquantized E/M energy. This would imply that matter, to the extent that it exists at all, must be viewed in toto as a shell or container of sorts surrounding the unquantized E/M energy contained within it, which is to say it is mostly unquantized energy oscillating with its own vibrations. Such is documented by the physics of Broglie waves.
- In the calculations for radius R, time dropped out of the equation. The mathematics were done purely by manipulating exponents of e.
- At the smallest particle level, the representations here, courtesy of Berelman15,16 may provide a framework for understanding quantum gravity.
- To recap, a potential solution to Heisenberg’s uncertainty can be imagined if the particle in question is sent along a path through a microscopic tunnel that reliably produces maxima and minima along a longitudinal Here, due to the peculiarities of ‘waves- particles’ maximums and minimums would occur every, wavelength instead of every quarter. But note here that because the particle is indeed space occupying and has mass, the minima would not in fact be null but would be the exact location of the particle along the trajectory given by the subsequent series of minimums each separated by λ. In such a scenario you could clearly identify both its location and where it was headed, ie its momentum.
9. The God frame?
A question mark here because any mention of the possibility of a higher power, creator or overseer of the universe provokes ridicule, scoff and disbelief by scientists, yet scientists themselves, perhaps in a veiled rib at religion, call the Higgs boson “the God particle”. The inquiry might be pushed to advance beyond such criticism, if physicists are so inclined, but far be it from me to do so.
Instead, let’s consider gravity. The reader may sense a bit of irony, if not joy (or perhaps agony) about now, but what about gravity? My simplified contention is that gravitation fields exist because everything in the universe is in relative motion. This means that gravitation is just a gradient of change of frame, of acceleration of matter through a previous frame, which is manifestly understood as warping or bending of space/time. Light, traveling at the upper limit of speed in the universe (doesn’t accelerate) yet is in all frames, in all things, has no perspective at all and being timeless, is its own medium,-wormhole. Since space and time, themselves can be viewed as features of consciousness, the experience of time is affected by gravity which in fact, is the case according to the rules of general relativity. The experience of the force of gravity itself comes about because of the same application of the principles of relativity that forced the displacement illusion with the Kanizsa triangles. Material objects seemingly cohere then decohere in frames connected by entanglement.
Gravitational waves imply that spacetime might buckle so to speak, in the vicinity of a massive body of matter, this means its motion, or the motion of another piece of matter relative to it, causes a contraction of the pieces of matter relative to each other and maybe of space/time itself (space/time turbulence?) in a manner consistent with Fitzgerald/Lorentz, which results in a gravitational force of attraction between objects. So is gravity just an illusion also? The answer is no, of course. Certainly, and above all in this case, the mind need not illude anything to experience gravity or its equivalent, acceleration, save for time dilation which is not detected in the common experience of gravity, hence no illusions. We are living in a matrix of the senses after all; but we exist in a quantum (timeless) universe.
Epilogue
For those with insatiable curiosity, the universe gives back a hundredfold in large measure because of the accumulated knowledge of all those who came before us1. That is Epistemology, the Theory of Knowledge in a nutshell. To the extent that this book delivers on that premise to an even miniscule degree I am humbled and delighted to no end, for the Universe still has a lot to teach us and we’ve only just begun.
References
- Barnes, Jonathan. Early Greek Philosophy. New York: Penguin Books (1987).
- Churchland, Patricia Smith. Neurophilosophy: Toward a Unified Science of Mind-Brain. Cambridge, MA: MIT Press (1986).
- DesCartes, Rene. Meditations and Other Metaphysical Writings. New York: Penguin Books (1998).
- Stapp Henry P. Quantum Theory and Free Will. Springer International Publishing. Switzerland (2017).
- Styer Daniel F. The Strange World of Quantum Mechanics. Cambridge University Press. New York (2000).
- Thurlow WR, Oneson RE. On the trail of an auditory rabbit. Psychon. Soc 22 (1984): 538-540.
- Tegmark, Max. Our Mathematical Universe. Vintage Books, division of Random House LLC. New York (2014).
- Jung, Carl G. Archetypes and the Collective Unconscious. Princeton University Press (1981).
- Fundamentals of Physics. Yale University Press. New Haven CT (2019).
- Basic Training in Mathematics. A Fitness Program for Science Students. Springer Science + Business Media Inc. New York NY (2006).
- Rovelli, Carlo. The order of Time. Riverhead Books. New York (2018).
- Mermin, N. David. Space and Time in Special Relativity. Mcgraw Hill, Inc. New York (1968).
- Ito, Hiroyuki. Kubo,Keiya. Manaligod de Jesus, Sheryl Anne. Visual saltation illusion induced by flashes of subjective contours. Journal of i-Perception 14 (2023): 1.
- Goldreich, Daniel. Tong, Jonathan, Prediction, Postdiction and Percetual length contraction: a Bayesian low speed prior captures the cutaneous rabbit and related illusions. Frontiers in Psychology 4 (2013): 221.
- Berelman, G. The entropy formula for the Ricci flow and its geometric applications (2024).
- Berelman, G. Ricci flow with surgery on three-manifolds (2008).