Can Ultrasound/Doppler Be Used To Predict Decompensation In Chronic Liver Disease
Sandeep Kaur Toor*, Himanshu Gupta, Akshyaya Kumar Nag, Kabir Singh Kang, Shahbaaz Singh Tiwana
DR, Punjab institute of liver and biliary sciences, India.
*Corresponding author: Sandeep Kaur Toor, DR, Punjab institute of liver and biliary sciences, India.
Received: 22 October 2025; Accepted: 29 October 2025; Published: 04 November 2025
Article Information
Citation: Sandeep Kaur Toor, Himanshu Gupta, Akshyaya Kumar Nag, Kabir Singh Kang, Shahbaaz Singh Tiwana. Can Ultrasound/Doppler Be Used to Predict Decompensation In Chronic Liver Disease. Journal of Radiology and Clinical Imaging 8 (2025): 113 – 119.
View / Download Pdf Share at FacebookAbstract
The chronological sequence of events in chronic liver disease includes two discrete stages. The first phase which is compensated is usually the phase of early liver disease. This part of the disease spectrum has non-specific symptoms and is detected either on routine investigations or is incidentally detected. The decompensated stage has significant morbidity and mortality. Ultrasound is the most common noninvasive investigation advised for patients with chronic liver disease. This was a cross-sectional study done to investigate any possible relevant differences in patients with compensated and decompensated chronic liver disease. The different parameters which were used to evaluate any significant differences were the liver size, spleen size, portal vein diameter, portal vein velocity, splenic vein size, presence of redistributions or collaterals. All the parameters showed differences in the two groups especially liver size, spleen size and splenic vein diameters; however, it could not be proved to be of any significance.
Keywords
Portal Vein Doppler, Splenic Vein, Portal Vein Velocity, Decompensation, Doppler.
Portal Vein Doppler articles, Splenic Vein articles, Portal Vein Velocity articles, Decompensation articles, Doppler articles.
Article Details
1. Introduction
Amongst the patients with liver diseases, cirrhosis is the major concern for causing mortality all over the world. (1) It causes loss of normal architecture and replacement of the normal hepatic parenchyma by fibrotic nodules. (2) The disease initially starts discreetly with most of the patients being asymptomatic in the compensated age group. These patients are usually detected incidentally when they present to the clinician with other unrelated medical incidents. This is the reason why the exact prevalence of compensated cirrhosis is very difficult to ascertain. These patients eventually progress to the stage of decompensation which is defined by the occurrence of either of the following features: which may be either ascites, esophageal variceal bleeding, hepatic encephalopathy, or increased bilirubin concentration. (3,4) The most recent BAVENO guidelines defined decompensation with presence of overt ascites, overt hepatic encephalopathy (West Haven grade ≥II) or variceal bleeding. (5). The occurrence of decompensation is considered as a watershed moment in the course of chronic liver disease. The median survival of the patient drops abruptly from nearly twelve years to two to four years from being in compensated state to decompensated state respectively. (6,7) Since these features are such that the patient invariably requires medical consultation and sometimes admission, the prevalence of decompensated liver disease is more accurately documented. The occurrence of decompensation is associated with significant morbidity and lowering the quality of life due to the repeated episodes requiring hospital admission. (8) The mortality also rises rapidly with one year case fatality reaching nearly 80%. (9,10). On the contrary, compensated cirrhosis is a relatively stable condition for the patient with one year mortality estimated as less than 5%. (8) In comparison ascites, which is the most common decompensating event, is known to increase the 1-year mortality to 20%; while decompensation developing secondary to infectious causes raising the one-year mortality to nearly 50%. (11,12,13,14). The progression of liver fibrosis to cirrhosis is a complex process that involves a series of events, leading to the development of portal hypertension, which is characterized by an increase in intrahepatic vascular resistance and a decrease in portal blood flow. (15) The gold standard for measuring portal venous pressure is measurement of the hepatic portal venous pressure gradient (HPVPG) by catheterizing the portal vein. (16,17) However, this is an invasive procedure, and therefore, non-invasive methods have been developed to identify patients with clinically significant portal hypertension (CSPH). CSPH is defined as an HPVPG of ≥10 mmHg and is associated with an increased risk of development of varices and overt clinical decompensation in the form of variceal hemorrhage, ascites, and hepatic encephalopathy to name a few. (16,18) Early detection of varices is paramount in patients with compensated advanced liver cell disease (cALCD) to prevent bleeding (19). Endoscopy is the gold standard for the detection of varices, but it is invasive, costly, and requires trained personnel Thus, non-invasive tests can help avoid unnecessary endoscopy and aid in predicting prognosis as well (20).
Hence there has been a constant endeavor to find ways to predict development of decompensation, so that it can be prevented or delayed from occurring. This can lead to significant improvement in morbidity leading to improvement in
There have been a few recent investigations for predicting early development of decompensation. In 2024 systematic review and meta-analysis done by Gananandan K, et al published in BMJ Open Gastroenterol 2024 analysing biomarkers predicting decompensation in patients with compensated cirrhosis (21) . Another prospective cohort study showing the suboptimal diagnostic accuracy of ultrasound and CT for compensated cirrhosis was done. (22). A study was published in 2023 elaborating the role of collage -IV in predicting decompensation. Similarly in another study published in hepatology a systematic review for Prediction models for liver decompensation in compensated advanced chronic liver disease was done. (23) In 2024, an article was published in the Journal of hepatology regarding using Hepatic venous pressure gradient predicts risk of hepatic decompensation and liver-related mortality in patients with MASLD. (24).
2. Materials and Methods
This was a cross-sectional study, which evaluated patients who had presented to our institute between May 2024 to December 2024. Since the institute is a tertiary care institute catering primarily to only patients with liver diseases, the entire dataset was evaluated.
The exclusion criteria included patients with:
- Hepatocellular carcinoma.
- Pediatric patients
- Pregnant females with underlying chronic / acute liver diseases.
- Any patients in whom more than one ultrasound/ doppler data value were missing from the records.
Accordingly total of 495 patient records were shortlisted. The patients were then categorized into two discrete groups -compensated group and the decompensated group.
The decompensated group included patients who
- Were already clinically diagnosed cases of hepatic decompensation undergoing treatment,
- Had ascites or presence of varices in cases of chronic liver disease.
The patients in whom more than one value of the required variables were missing, were deleted from the group. The variables which were compared included the demographic data of the patient; ultrasound parameters such as liver size, splenic size, size of portal vein, presence of redistribution in the form of left lobe or caudate lobe hypertrophy, or presence of collaterals. The doppler parameters which were used for comparison were portal vein velocity, presence of hepato-fugal flow or portal vein thrombosis.
Descriptive analysis such as frequency, mean, median, standard deviation were calculated. Then paired t- test, chi -square test and Mann Whitney test was applied to assess any significant difference in the different ultrasound and doppler variables in the compensated and decompensated groups.
3. Results
72 patients were included in the decompensated group. While 97 patients were included in the compensated group.
The age groups were similar to each other; with no significant differences in these groups. The mean age for the decompensated age group was 54.69 years, while in the compensated age group is 53.39 years. The range of patients included were between 10 to 82 years in compensated age group, while in the decompensated age group the patients ranged from 26 to 79 years. (Table 1)
AGE(C) AGE(D)
|
N Valid |
96 |
72 |
|
Mean |
53.39 |
54.69 |
|
Median |
54.00 |
55.00 |
|
Std. Deviation |
13.005 |
10.972 |
|
Range |
64 |
53 |
|
Minimum |
18 |
26 |
|
Maximum |
82 |
79 |
Table 1: Descriptive statistics comparing the age groups in the two groups, comparing the mean, median, standard deviation and range in the two groups.
Age(D)- Age distribution in the decompensated group.
Age (C)- Age distribution in the compensated group.
The gender distribution in both the groups was analyzed and there was similar distribution in the two age groups. There was a clear male predominance in both the age groups, (Table 2) with males forming 90.2 % of the sample cases in the compensated group and forming 93.1 % in the decompensated group.
|
||||||||||||||||||||||||||||||||
|
||||||||||||||||||||||||||||||||||||||||
Table 2: Frequency distribution of the genders (male and female) in the two groups.
Sex(C)-represents the gender distribution in the compensated group.
Sex(D)- represents the gender distribution in the decompensated group.
The different aetiologies causing liver diseases were compared in the two groups. None of the compared aetiologies – HBV, HCV, Alcohol intake, drugs or NASH showed a predisposition towards any of the groups. Alcohol intake was a predominant factor in both the groups. The rest of the aetiologies like HBV, HCV, drugs and NASH were seen in a small percentage of cases (Table 3). There was no significant difference in the various etiologies in both the groups, signifying no specific cause predisposing to development of decompensation (Figure1).
HBV(C)-No of HBV positive cases in patients with compensated cirrhosis.
HCV(C)- No of HCV positive cases in patients with compensated cirrhosis.
ALCOHOL(C)-No of patients with history of alcohol intake with compensated cirrhosis.
DRUGS(C)- No of patients with history of drugs intake with compensated cirrhosis.
NASH(C)- No of patients with non-alcoholic fatty liver with compensated cirrhosis.
HBV(D)-No of HBV positive cases in patients with decompensated cirrhosis.
HCV(D)- No of HCV positive cases in patients with decompensated cirrhosis.
ALCOHOL(D)-No of patients with history of alcohol intake with decompensated cirrhosis.
DRUGS(D)- No of patients with history of drugs intake with decompensated cirrhosis.
NASH(D)- No of patients with non-alcoholic fatty liver with decompensated cirrhosis.
|
ETIOLOGY |
COMPENSATED POSITIVE |
COMPENSATED PERCENT |
DECOMPENSATED POSITIVE |
DECOMPENSATED PERCENT |
|
HBV |
3 |
3.12 |
4 |
5.6 |
|
HCV |
15 |
15.62 |
10 |
13.9 |
|
ALCOHOL |
46 |
47.92 |
37 |
51.4 |
|
NASH |
3 |
3.12 |
1 |
1.4 |
|
DRUGS |
13 |
13.54 |
4 |
5.6 |
Table 3: Descriptive statistics for different aetiologies in both groups.
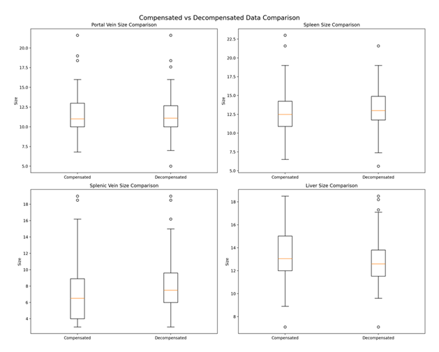
Next the metric ultrasound parameters – were longitudinal span of the liver, craniocaudal length of spleen, portal vein diameter and splenic vein diameters. They were analyzed in both the groups to measure the mean values, median values, standard deviations. As expected with worsening of the chronic liver disease, and development of decompensation in chronic liver disease, the liver size is lower in the decompensated data group. Also, the craniocaudal span of spleen is higher in the decompensated group, as compared to the compensated group. Similarly, the splenic vein diameter is dilated in the decompensated group as compared to the compensated group. On application of paired sample T tests, P values for all these variables were calculated and interpreted accordingly. P values are more than 0.05 suggestive of no significant difference in these groups (Table 4). Hence these variables are used for follow up studies in patients of cirrhosis, but the difference in these variables is not significant enough to reliably predict development of decompensation.
Portal vein diameter (measured in mm).
Spleen size (measured in cm).
Splenic vein (measures in mm) and
Liver size (measured in cm) in both compensated and decompensated groups.
|
Variable |
Compensated Mean |
Decompensated Mean |
Mean Difference |
Percent Change |
P Value |
Significant |
|
PORTAL VEIN |
11.49 |
11.45 |
-0.04 |
-0.4 |
0.9246 |
No |
|
SPLEEN SIZE |
12.63 |
13.22 |
0.59 |
4.7 |
0.1835 |
No |
|
SPLENIC VEIN |
7.17 |
8.0 |
0.83 |
11.6 |
0.1331 |
No |
|
LIVER SIZE |
13.49 |
12.97 |
-0.52 |
-3.9 |
0.1424 |
No |
Table 4: Comparing the two datasets in terms of portal vein diameter, spleen size, spleen size, splenic vein and liver size.
The next set of ultrasound data included nominal variables such as presence of redistribution and presence of collaterals. Redistribution was considered present when left lobe or caudate lobe hypertrophy, crossing the midline was present. The collaterals were considered present if dilated, tortuous vessels showing venous flow were present, either in periportal region, midline-paraoesophageal or paragastric collaterals, at the splenic hila or lieno-renal region. Even if a single collateral was present, it was considered positive. The frequency of occurrence of redistribution and collaterals were calculated. Thereafter Chi square test was applied, and difference was evaluated. Although the redistribution is more predominant in the decompensated group, the significance is less than 0.05, suggesting no significant difference in presence of redistribution and collaterals in both the groups. (Figure 3).
The doppler parameter demonstrating portal vein velocity in both the groups was assessed, compared and analyzed for any significant difference. The mean portal vein velocity in the compensated group measures 11.94±3.83 cm/s and in the decompensated group measures 11.55±3.95 cm/s. (Table 5) The difference between these two variables was used to evaluate any significance. Mann Whitney U test is applied, which calculated p value as 0.463.(Figure 4).
|
Group |
N (Valid) |
Missing/NO FLOW |
Mean ± SD |
Median (IQR) |
Range |
|
Compensated |
88 |
9 |
11.94 ± 3.83 |
11.2 (9.3-14.12) |
4.7-26.0 |
|
Decompensated |
59 |
14 |
11.55 ± 3.95 |
10.7 (8.95-14.0) |
4.7-22.9 |
Table 5: Descriptive statistics elaborating portal vein velocities in both compensated and decompensated groups.
The incidence of portal vein thrombosis was analyzed. (Table 6) Although there was a difference in the two groups; however, the sample is not large enough to be of significance. (Figure 7).
|
Group |
Total Patients |
NO FLOW Cases |
Thrombosis Rate (%) |
Normal Flow Cases |
|
Compensated |
91 |
2 |
2.2 |
89 |
|
Decompensated |
66 |
4 |
6.06 |
62 |
TABLE 6: Comparison of “no flow cases”- portal vein thrombosis in both the groups.
4. Discussion
In patients with chronic liver disease, disease progression is eminent, leading to clinically significant portal hypertension, and eventually presenting with any one of the decompensating events. Once decompensation occurs there is sudden increase in the number of hospital admissions. Also, there is a sudden decrease in life expectancy. This has led to a constant endeavor to find ways of predicting decompensation.
Since ultrasound, Doppler and fibro scan are the easily available, relatively inexpensive and non-invasive investigations which are routinely advised for follow up of patients with chronic liver disease. It would be useful if any of these parameters could help in predicting development of decompensation and hence help in taking timely action to prevent or delay its onset.
The present study was a cross-sectional study used to study the routinely evaluated ultrasound and doppler parameters for any significant differences, which might help in timely interventions to prevent decompensation.
The present study although revealed differences in various parameters, but the differences were not significant enough. For instance, the longitudinal span of liver is reduced, craniocaudal span of spleen in enlarged and splenic vein is dilated in both the groups, more so in the decompensated group; but this is not statistically significant. Similarly, on doppler studies, the difference in the portal vein velocities although present is not statistically significant. However, there is a difference in the number of cases with portal vein thrombosis in both the groups; however, the sample size of number of cases with portal vein thrombosis is very small to be of any statistical significance.
References
- Roth GA, Abate D, Abate KH, et al. Global, regional, and national age-sex-specific mortality for 282 causes of death in 195 countries and territories, 1980–2017: a systematic analysis for the Global Burden of Disease Study 2017. Lancet 392 (2018): 1736–88.
- Anthony PP, Ishak KG, Nayak NC, Poulsen HE, Scheuer PJ, Sobin LH. The morphology of cirrhosis. Recommendations on definition, nomenclature, and classification by a working group sponsored by the World Health Organization. J Clin Pathol 31 (1978): 395–414.
- Fleming KM, Aithal GP, Card TR, West J. The rate of decompensation and clinical progression of disease in people with cirrhosis: a cohort study. Aliment Pharmacol Ther 32 (2010): 1343–50.
- Moreau R, Jalan R, Gines P, et al. Acute-on-chronic liver failure is a distinct syndrome that develops in patients with acute decompensation of cirrhosis. Gastroenterology 144 (2013): 1426–37.e1–9.
- De Franchis R, Bosch J, Garcia-Tsao G, et al. Baveno VII – Renewing consensus in portal hypertension. J Hepatol 76 (2022): 959–74.
- D’Amico G, Garcia-Tsao G, Pagliaro L. Natural history and prognostic indicators of survival in cirrhosis: a systematic review of 118 studies. J Hepatol 44 (2006): 217–31.
- Planas R, Montoliu S, Ballesté B, Rivera M, Mireia M, Masnou H, et al. Natural history of patients hospitalized for management of cirrhotic ascites. Clin Gastroenterol Hepatol 4 (2006): 1385–94.
- Ge PS, Runyon BA. Treatment of patients with cirrhosis. N Engl J Med 375 (2016): 767–77.
- D’Amico G, Garcia-Tsao G, Pagliaro L. Natural history and prognostic indicators of survival in cirrhosis: a systematic review of 118 studies. J Hepatol 44 (2006): 217–31.
- Fleming KM, Aithal GP, Card TR, West J. All-cause mortality in people with cirrhosis compared with the general population: a population-based cohort study. Liver Int 32 (2012): 79–84.
- Arroyo V, Moreau R, Kamath PS, Jalan R, Ginès P, Nevens F, et al. Acute-on-chronic liver failure in cirrhosis. Nat Rev Dis Primers 2 (2016): 16041.
- Gustot T, Stadlbauer V, Laleman W, Alessandria C, Thursz M. Transition to decompensation and acute-on-chronic liver failure: role of predisposing factors and precipitating events. J Hepatol 75 (2021): S36–48.
- Fleming KM, Aithal GP, Card TR, West J. All-cause mortality in people with cirrhosis compared with the general population: a population-based cohort study. Liver Int 32 (2012): 79–84.
- D’Amico G, Garcia-Tsao G, Pagliaro L. Natural history and prognostic indicators of survival in cirrhosis: a systematic review of 118 studies. J Hepatol 44 (2006): 217–31.
- Garcia-Tsao G, Abraldes JG, Berzigotti A, Bosch J. Portal hypertensive bleeding in cirrhosis: risk stratification, diagnosis, and management: 2016 practice guidance by the American Association for the Study of Liver Diseases. Hepatology 65 (2017): 310–35.
- McConnell M, Iwakiri Y. Biology of portal hypertension. Hepatol Int 12 (2018): 11–23.
- Leung JC, Loong TC, Pang J, Wei JL, Wong VW. Invasive and non-invasive assessment of portal hypertension. Hepatol Int 12 (2018): 44–55.
- Sanyal AJ, Bosch J, Blei A, Arroyo V. Portal hypertension and its complications. Gastroenterology 134 (2008): 1715–28.
- Pena LR, Cox T, Koch AG, Bosch A. Study comparing oesophageal capsule endoscopy versus EGD in the detection of varices. Dig Liver Dis 40 (2008): 216–23.
- EASL-ALEH Clinical Practice Guidelines: non-invasive tests for evaluation of liver disease severity and prognosis. J Hepatol 63 (2015): 237–64.
- Gananandan K, et al. BMJ Open Gastroenterol 11 (2024): e001430.
- D’Amico G, et al. Towards a new definition of decompensated cirrhosis. J Hepatol 76 (2022): 202–07.
- Hetland LE, Kronborg TM, Thing M, Werge MP, Junker AE, Rashu EB, et al. Suboptimal diagnostic accuracy of ultrasound and CT for compensated cirrhosis: evidence from prospective cohort studies. Hepatol Commun 7 (2023): e0231.
- Chen J, et al. BMC Gastroenterol 23 (2023): 317.





