Mechanical Effect of Shear Wave Stimulation of Facial Skin
Koloina Randrianavony1,2*, Coralie Privet-Thieulin1,2, Dominique Sigaudo-Roussel3, Hassan Zahouani1
1LTDS, Ecole Centrale de Lyon, CNRS UMR5513, France
2LyRIDS ECE Paris, 10 Rue Sextius Michel, 75015 Paris, France
3Université Claude Bernard Lyon 1, CNRS, UMR5305 LBTI, France
*Corresponding Author: Koloina Randrianavony, LTDS, Ecole Centrale de Lyon, CNRS UMR5513, France.
Received: 05 December 2025; Accepted: 17 December 2025; Published: 16 January 2026
Article Information
Citation: Koloina Randrianavony, Coralie Privet- Thieulin, Dominique Sigaudo-Roussel,Hassan Zahouani. Mechanical Effect of Shear Wave Stimulation of Facial Skin. Archives of Clinical and Biomedical Research. 10 (2026): 36-44.
View / Download Pdf Share at FacebookAbstract
Introduction: The Shear Wave Stimulation (SWS) is a novel massage method that permits to stimulate the skin without contact using blasts of air to induce shear and compression waves in the different layers of the skin. This technique uses the principles of mechanotransduction to induce mechanical changes in the skin’s properties, leveraging the cells capacity to transform mechanical stimulus into biochemical reactions.
Methodology: This study was conducted on the cheeks of 20 healthy women aged between 20 and 60 years old. To assess the impact of the SWS on the mechanical properties of the skin, the skin’s shear modulus was measured using the UNDERSKIN device. The impact of different stimulation parameters has also been investigated using two opening times of 20ms and 50ms.
Results: The measurements revealed that the SWS lead to a significant improvement in the cheek’s skin mechanical properties with an increase in shear modulus of 15% (p=0.010) in the epidermis and a considerable increase of 18% (p<0.0001) in the dermal layer using an opening time of 20ms.
Conclusion: The SWS is a non-contact and non-invasive method that can be used to enhance the facial skin mechanical properties. It has also been found that the choice of stimulation parameters plays an important role and should be chosen according to the situation.
Keywords
Skin; Shear wave stimulation; Mechanical behavior; Massage
Article Details
1. Introduction
The skin is the largest organ of our body serving as a protective barrier against external threats. It has a stratified structure composed of the epidermis, dermis and hypodermis. The epidermis is composed of keratinocytes cells at different stages of differentiation. Below this layer, there is the dermis that links the epidermis to the hypodermis. It is mainly composed of extracellular matrix (ECM) produced by dermal fibroblasts. The fibroblasts also produce the collagen and elastin fibers that are responsible respectively for the skin’s tensile strength and elasticity [1]. Then there is the hypodermis which is principally composed of adipose tissue. It serves as a reserve of energy supply and a cushion that absorbs the different mechanical loads that the skin may be subjected to [2].
But the production of collagen and elastin decreases with age, leading to a decline in skin’s mechanical properties. Its elasticity and stiffness decrease manifesting as the appearance of wrinkles. [3,4]. Recently, research about different methods that can be used to slow this aging process is booming [3-5].
When the skin is subjected to mechanical stimuli, the deformation of the different layers leads to the transmission of mechanical signals to the cells within them. These cells will then convert these signals to biochemical cues to alter cells’ behavior; this phenomenon is called mechanotransduction [6]. This concept is exploited by different massage techniques to promote healing and rehabilitation [7-10].
Different massages devices are known to have an anti-aging effect. But few studies investigated the impact of massages on the mechanical properties of the facial skin. The effect of facial roller and Gua Sha massage on skin elasticity was investigated in Ahn et al. [11]. They found that Facial Roller improved skin elasticity after 8 weeks of utilization. The impact of High-Intensity Dynamic Micro- Massage on facial skin was also studied in Ko et al. [12], where they found that this massage technique improved the skin’s elasticity, density, glow and hydration. But most of the research on the impact of massage on the skin’s mechanical properties has been done on other parts of the body, not the fascial area [13,14]. Moreover, most of the massage methods need direct contact with the skin to have an effect [11,15], which is not ideal if the skin surface is already damaged or sensitive.
A contactless massage technique has been developed in the LTDS laboratory: the Shear Wave Stimulation (SWS) method. It has been tested both in vitro and in vivo; and it has been proven that this technique alters the mechanical properties of the skin with an increase in shear modulus [13,16]. In vivo, the SWS has been tested on the inner forearm of 15 volunteers to study its mechanical effects. It has been found that the SWS increased the shear modulus of the skin by 17.9% after a two-week period of stimulation [13].
In this study, we wanted to analyze the effect of this non-contact stimulation method on the mechanical properties of the facial skin (cheek). The impact of SWS on shear modulus of the skin of the epidermis and dermis layer of fascial skin has been investigated. Two opening times of 20ms and 50ms have been chosen to be tested based on previous studies [13,16] to see how the opening time may influence the changes in the mechanical properties of the skin after stimulation. The effect of this stimulation will be investigated: in general, by effect of age and by effect of skin thickness.
2. Materials and Methods
2.1 Participants
This study was performed on the left and right cheek of 20 female volunteers aged between 20 and 60 years old recruited from France during winter season (between October 2024 - March 2025 and October - November 2025).
The volunteers were non-smokers and in good health. They had healthy skin and did not have scars or tattoos on the experimental area. They had a phototype between I and III and a Body Mass Index (BMI) between 19 kg/m2 and 29 kg/m2. The volunteers did not apply cosmetic products on the experimental area during the test days. The tests were carried out in an air-conditioned room (temperature T = 22.2 ± 1.9°C and humidity H = 40 ± 9 %) and they stayed in it for 10 min before the experiment to get acclimatized.
The volunteers were informed of the aim of the study and the experimental procedures and agreed to participate. They gave their written informed consent before participating. They had the right to withdraw their consent and terminate their participation at any given time for any reason and without prejudice. The procedures of this study complied with the latest Declaration of Helsinki.
2.2 Devices
2.2.1 Shear Wave Stimulation (SWS) Device
The massage on the face is performed using the SWS device presented in Figure 1a, on the left the head support device and on the right the head of the SWS device. This device has already been extensively explained in Qiao et al. [16]. By using blast of air, shear and compression waves are generated in the different layers of the skin (Figure 1b).
The stimulation parameters for the SWS in vivo for the cheek area are: the internal diameters of the air outlet is 1.19 mm; the interval distance of the Y-movement is 5 mm; the air pressure is 4 bar; the air used for the stimulation comes from an air compressor; and two opening times of 20ms (closing time 480ms) and 50ms (closing time 450ms) are used. The distance between the air outlet and the skin was between ~15mm and ~20mm. These parameters have been chosen based on previous studies [13,16].
2.2.2 Underskin
The UNDERSKIN device, presented in Figure 2, is a non-contact device developed and patented at the LTDS laboratory [16,17]. It is used to measure the shear modulus of the skin as a function of depth. From that measurement and knowing the approximate depth of the epidermis layer [18], the shear modulus of the epidermis and dermis layer can be computed.
Basically, a blast of air is used to create disruption on the skin’s surface. The principle is presented in Figure 3a. The ripples generated will then be recorded using a low-power laser optical sensor. The UNDERSKIN method then uses Fourier transform and surface wave dispersions analysis to compute the phase velocity for each frequency. This phase velocity profile obtained can then be converted into shear velocity to calculate the complex shear modulus. For further details, the readers may refer to the article in Bergheau et al. [17].
In this study, the impact pressure of the device is set to 3 bars and the opening time to 7ms. The optical sensor is situated at 0.3 mm from the solicitation point along the central Y-axis of the test area.
2.3 Protocol
The cheeks of the volunteers were stimulated for 5min two times a day for 4 days. Mechanical measures were taken before the stimulation and 1 hour after the last stimulation on the 4th day (Figure 4a). During the SWS, the volunteers sat on a stool and placed their face on a chin rest forehead support (Figure1a). The experimental zone that was stimulated using SWS is situated bellow the cheekbone central area of the cheek (Figure 4b). This measurement zone of 20 mm2 was delimited using a mask. The volunteers were asked to have a neutral expression during the stimulation and stay as still as possible during the mechanical measures using UNDERSKIN. The mechanical measurements were repeated five times for each acquisition. Each volunteer tested the two opening times (20ms or 50ms), one cheek per opening time. The attribution of which cheek (left or right) was attributed to which opening time was randomized.
2.4 Statistical analysis
The data are presented using box plot and statistical significance was considered for p<0.05. The significance code of the p-value is noted as follows: p>0.05 as ns (non-significative); p<0.05 as *; p<0.01 as **; p<0.001 as *** and p<0.0001 as ****. Python was used to compute statistical analysis.
For statistical comparison before and after SWS: if the data is normally distributed and has no outlier a paired t-test was used, else the non-parametric Wilcoxon test was used.
For statistical comparison between the three-age group: if the data is normally distributed and has no outlier, an ANOVA (if equal variance) or an ANOVA with Welch correction (if unequal variance) was used. Else the non-parametric Kruskal-Wallis test was used.
For statistical comparison between the two thickness of skin: if the data is normally distributed and has no outlier, an independent t-test (if equal variance) or an independent t-test with Welch correction (if unequal variance) was used. Else the non-parametric Mann-Whitney U test was used.
2.5 Clustering algorithm
The clustering algorithm will be used to group the stimulation zones based on the thickness of the different skin layers.
The k-mean algorithm is an unsupervised algorithm used to form clusters from unlabeled data. It regroups data with similar characteristics by repeatedly assigning data points to the nearest cluster using a chosen distance metric and then updating the centroid based on the current points assigned to it. These steps are repeated until the centroids are stabilized, or the maximum step of the algorithm is reached [19].
3. Results
3.1 Effect of stimulation parameters
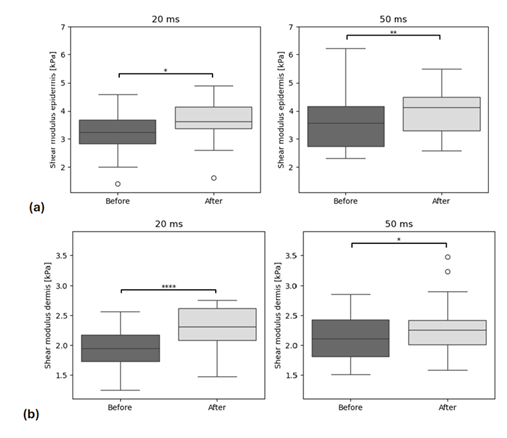
The shear modulus of the experimental zone (cheek) has been measured before and after SWS using UNDERSKIN in the epidermis and dermis layer. The aim is to see if the stimulation had a significant effect on the mechanical properties of the skin and to see the differences between the two opening times.
Figure 4a shows that, in the epidermis layer, for 20ms opening time there is an increase of 15% (p=0.0100) and for 50ms opening time there is an increase of 10% (p=0.0059). Figure 4b shows that, in the dermis layer, for 20ms opening time there is an increase of 18% (p= 2,15e-6) and for 50ms opening time there is an increase of 8% (p=0.0286).
Statistical analysis between the two opening times reveals that there is no significant difference between the two opening times (p=0.9854) in the epidermis layer. In the dermis layer, the increase in shear modulus for 20ms is higher (+18%) than the increase for 50ms (+8%) with significant difference between the two (p=0.0166).
3.2 Effect of age
In this section, the effect of age on the skin’s mechanical response to the SWS device has been investigated. The volunteers have been divided into three groups determined by age as shown in Table 1.
|
Group 1 |
Group 2 |
Group 3 |
|
|
Age |
20-29 years old |
30-39 years old |
40-60 years old |
|
Number of volunteers |
8 |
6 |
6 |
Table 1: Repartition of volunteers in different age groups.
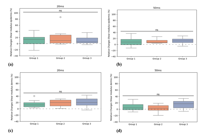
The Table 2 shows the relative changes of the cheek’s skin mechanical behavior before and after SWS for each opening time with their p-value per age group. It demonstrates an increase in shear modulus, both in the epidermis and dermis layer, regardless of age group. For each age group, the SWS lead to a significant increase in shear modules in the dermis layer for an opening time of 20ms with an increase of 15% (p=0.0078) for group 1, 18% (p=0.0109) for group 2 and 20% (p=0.0179) for group 3.
Figure 6 shows the comparison of relative changes of shear modulus between the different age groups. In the epidermis (Figure 6 a,b), there is no significant difference between the different age groups for both opening times of 20ms (p=0.9467) and 50ms (p=0.9045). This result is also observed in the dermis (Figure 6 c,d) with no significant difference between the different age groups for both opening times of 20ms (p=0.8019) and 50ms (p=0.3191).
|
Mean relative changes between before and after SWS |
p-value between before and after SWS |
||||
|
Opening time |
20ms |
50ms |
20ms |
50ms |
|
|
Group 1 |
Shear modulus epidermis [kPa] |
+ 11 % |
+ 8 % |
0.2222 |
0.3060 |
|
Shear modulus dermis [kPa] |
+ 15 % |
+ 7 % |
0.0078 ** |
0.1699 |
|
|
Group 2 |
Shear modulus epidermis [kPa] |
+ 22 % |
+ 11 % |
0.1234 |
0.0315 * |
|
Shear modulus dermis [kPa] |
+ 18 % |
+ 2 % |
0.0109 * |
0.7412 |
|
|
Group 3 |
Shear modulus epidermis [kPa] |
+ 11 % |
+ 12 % |
0.1134 |
0.0661 |
|
Shear modulus dermis [kPa] |
+ 20 % |
+ 15 % |
0.0179 * |
0.0938 |
|
Table 2: Relative changes before and after SWS for each opening time and the corresponding p-values per age group.
20ms and (b) 50ms; and in the dermis layer for each opening time of (c) 20ms and (d) 50ms.
3.3 Effect of skin thickness
In this section, the effect of skin thickness on the skin’s mechanical response to the SWS device has been investigated. From acquired 2D ultrasound images of the skin of the cheeks and using [4,5] as references for the delimitation of the different layers of the skin, the thickness of the Epidermis + Dermis layer and the Hypodermis layer of the skin of each volunteer has been measured.
The k-mean algorithm and the number of two clusters were chosen respectively based on a simple approach and the fact that more than 2 groups do not seem relevant in the case dividing the cheeks into sub-group based on skin thickness. The aim of this approach was to see if the thickness of the skin may have an influence on the efficacity of the SWS.
The thickness of the Epidermis + Dermis layer and the hypodermis layer were used as features for the k-mean algorithm to separate the volunteers into two clusters (Table 3).
|
20ms |
50ms |
|||
|
Cluster 0 |
Cluster 1 |
Cluster 0 |
Cluster 1 |
|
|
Number of cheeks |
9 |
11 |
8 |
12 |
|
Epidermis + Dermis (cm) |
0.13 ± 0.01 |
0.11 ± 0.02 |
0.14 ± 0.01 |
0.12 ± 0.01 |
|
Hypodermis (cm) |
0.44 ± 0.09 |
0.37 ± 0.06 |
0.43 ± 0.06 |
0.36 ± 0.06 |
Table 3: Mean features of cheeks per cluster and per opening time.
|
Mean relative changes between before and after SWS |
p-value between before and after SWS |
||||
|
Opening time |
20ms |
50ms |
20ms |
50ms |
|
|
Cluster 0 |
Shear modulus epidermis [kPa] |
+ 7 % |
+ 8 % |
0.0809 |
0.1440 |
|
Shear modulus dermis [kPa] |
+ 18 % |
+ 6 % |
0.0009 *** |
0.4240 |
|
|
Cluster 1 |
Shear modulus epidermis [kPa] |
+ 22 % |
+ 12 % |
0.0367 * |
0.0269 * |
|
Shear modulus dermis [kPa] |
+ 18 % |
+ 9 % |
0.0015 ** |
0.0120 * |
|
Table 4: Relative changes before and after SWS for each opening time and the corresponding p-values per cluster of different skin thickness.
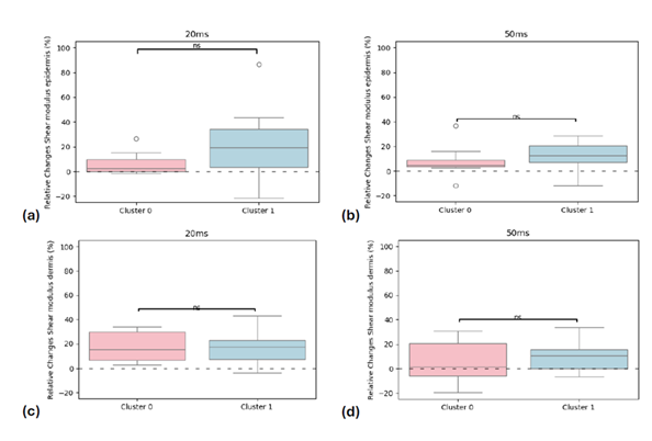
The Table 4 shows the relative changes of the cheek’s skin mechanical behavior before and after SWS for each opening time with their p-value per skin thickness cluster. In the epidermis and dermis layer, there is an increase in shear modulus for both opening times in the two clusters. For cluster 1, in the epidermis, there are significant differences between before and after SWS for both opening time with an increase of 22% (p=0.0367) for 20ms and 12% (p=0.0269) for 50ms. In the dermis layer, for the opening time of 20ms, the difference observed in shear modulus is significant for cluster 0 (p=0.0009) and cluster 1 (p=0.0015) with the same increase of 18%.
Figure 7 shows the comparison of relative changes of shear modulus between the two clusters related to skin thickness. In the epidermis (Figure 7a,b) there is no significant difference between the two clusters for both opening times of 20ms (p=0.1254) and 50ms (p=0.4813). This result is also observed in the dermis (Figure 7c,d) with no significant difference between the two clusters for both opening times of 20ms (p=0.9596) and 50ms (p=0.6058).
4. Discussion
In this study, an increase in shear modulus in the epidermis and dermis layer has been observed after a SWS on facial skin, which signify stiffer skin. This result confirms the effect of SWS on the mechanical properties of the skin found in Qiao et al. [13,16] where they showed an increase in shear modulus after stimulation. It has been found in Okuda et al. [20] that facial massages have a tightening effect which aligns with the observed impact of SWS on the cheek’s skin properties. The impact of massage on facial skin’s mechanical properties has been investigated in Ahn et al. [11], where they found that massages using facial roller showed significant improvement in skin elasticity (using a cutometer: gross elasticity R2 +8.6% and biological R7 +7.5% with p<0.001) in the nostril wing. This indicates that massage may have an impact on the skin’s mechanical properties. In Ko et al. [12], they used a High-Intensity Dynamic Micro-Massage to see the effect on facial skin. Like our finding, they found an increase in skin’s elasticity of cheek of 1.63%, but our increase was more important. This difference may be explained by the different types of stimulus method used.
We found that the increase in shear modulus is especially observed in the dermis layer, with a statistically significant increase of 18% between before and after SWS. This may be caused by an increase in collagen production by the fibroblast’s cells, improving the tensile strength of the skin. Indeed, it has been observed in Qiao et al. [16] that the SWS increased the collagen and elastin production in reconstructed skin. Ex-vivo experimentation on skin also proved that after massages using an oscillating torque, there was an increase in elastic fibers and a reinforcement of the DEJ (dermo epidermal junction) [21].
The results of this experiment using two different opening times of 20ms and 50ms showed a significant difference between the two opening times, with an increase of 18% in shear modulus for 20ms and an increase of 8% for 50ms. This disparity highlights the importance of the choice of stimulation parameters. The study of the impact of SWS on reconstructed skin [16] also found that an opening time of 20ms leads to higher increase in shear modulus than an opening time of 10ms, with a more considerable change in the dermal than in the epidermal layer, which is coherent with our findings. In Caberlotto et al. [21], they also had a similar protocol with our study with daily stimulation twice a day. They found that the impact of the massage on the expression of human dermis proteins is dependent on the stimulus frequency with a maximum expression of 75Hz. All of this underlines the importance of choosing the stimulus parameters based on the techniques and the situation.
From this experiment, age does not significantly affect the effect of SWS on facial skin. This result is coherent with previous findings when using this SWS method on the inner forearm of volunteers [7] that showed that age did not have an impact in the skin’s mechanical response. This highlights the fact that the SWS method is effective regardless of age. But although there are no significant differences between the different age groups, in the dermis layer for 20ms (Figure 7 c), there is a tendency to increase with age with an increase of 15%, 18% and 20% for Group 1, 2 and 3 (Table 2). It seems that the studies that have been made on the effect of facial massages did not include people over 65 years old [11,12,20,22]. Therefore, further investigation should be carried out using a larger sample size and including people over the age of 65.
Finally, it has been found in this study that there is no significant difference between the two clusters representing different skin thickness on the effect of SWS on skin. There was a significant increase of 18% in the dermis for the two cluster with an opening time of 20ms. This shows that the SWS method has an effect regardless of skin thickness in the dermis layer.
5. Conclusion
In this study, the impact of SWS on facial skin’s mechanical properties has been investigated. It was revealed that SWS lead to an increase in facial skin’s shear modulus, both in the epidermis and the dermis layer. This increase was more significant in the dermis layer, which is certainly due to an increase in collagen production after stimulation. Better results were obtained with an opening time of 20ms, which reinforces the knowledge that the stimulus parameters of the massage should be adapted to the situation, and it should be chosen carefully.
On facial skin on the cheek area, this stimulation method had an effect regardless of age group or skin thickness, which highlights its potential use for a huge demographic population. However, it should be taken into consideration that this test was made with a relatively small sample size, and further studies including more people with people aged from 20 to over 65 years old should be made to verify this conclusion. It may also be interesting to see the influence of localization on the mechanical effect induces by SWS on the skin.
Author Contributions
Koloina Randrianavony: Conceptualization, Methodology, Investigation, Formal analysis, Visualization, Writing – Original Draft, Writing – Review C Editing. Coralie Privet-Thieulin: Supervision, Methodology, Writing – Review C Editing. Dominique Sigaudo-Roussel: Supervision, Writing – Review C Editing. Hassan Zahouani: Supervision, Resources, Project administration.
Acknowledgment:
None
Conflicts of Interest:
The authors declare no conflict of interest.
References
- Kolarsick PAJ, Kolarsick MA, Goodwin C. Anatomy and Physiology of the Skin. Journal of the Dermatology Nurses’ Association 3 (2011): 203.
- Arda O, Göksügür N, Tüzün Y. Basic Histological Structure and Functions of Facial Skin. Clinics in Dermatology 32 (2014): 3-13.
- Naharro-Rodriguez J, Bacci S, Hernandez-Bule ML, et al. Decoding Skin Aging: A Review of Mechanisms, Markers, and Modern Therapies. Cosmetics 12 (2025): 144.
- Hussein RS, Bin Dayel S, Abahussein O, et al. Influences on Skin and Intrinsic Aging: Biological, Environmental, and Therapeutic Insights. Journal of Cosmetic Dermatology 24 (2025): e16688.
- He X, Wan F, Su W, et al. Research Progress on Skin Aging and Active Ingredients. Molecules 28 (2023): 5556.
- Biggs LC, Kim CS, Miroshnikova YA, et al. Mechanical Forces in the Skin: Roles in Tissue Architecture, Stability, and Function. Journal of Investigative Dermatology 140 (2020): 284-290.
- Van Daele U, Meirte J, Anthonissen M, et al. Mechanomodulation: Physical Treatment Modalities Employ Mechanotransduction to Improve Scarring. European Burn Journal 3 (2022): 241-255.
- McKay J, Nasb M, Hafsi K. Mechanobiology-Based Physical Therapy and Rehabilitation after Orthobiologic Interventions: A Narrative Review. International Orthopaedics (SICOT) 46 (2022): 179-188.
- Moortgat P, Anthonissen M, Van Daele U, et al. Shock Wave Therapy for Wound Healing and Scar Treatment. In: Téot L, Mustoe TA, Middelkoop E, et al., eds. Textbook on Scar Management: State of the Art Management and Emerging Technologies. Cham: Springer; 2020: 485-490.
- Stańczak M, Swinnen B, Surmacz J, et al. Knee Joint Response to Mechanical Loading: Bounding Mechanotransduction with Rehabilitation. Cellular Physiology & Biochemistry 59 (2025): 666-729.
- Ahn S, et al. Comparative Effects of Facial Roller and Gua Sha Massage on Facial Contour, Muscle Tone, and Skin Elasticity: Randomized Controlled Trial. Journal of Cosmetic Dermatology 24 (2025): e70236.
- Ko M, Song Y, Oh J. Impact of a High-Intensity Dynamic Micro-Massage (HIDM) Device on Facial Skin Elasticity, Skin Density, Glow, and Hydration. Journal of Musculoskeletal Science and Technology 8 (2024): 125-133.
- Qiao N, Ouillon L, Bergheau A, et al. Dynamic Responses of Human Skin and Fascia to an Innovative Stimulation Device—Shear Wave Stimulation. Biomimetics 9 (2024): 8.
- Inami T, Yamaguchi S, Kim HK, et al. Relationship between Changes in Muscle Stiffness after a Comfortable Massage and the Massage Pressure. Journal of Bodywork and Movement Therapies 39 (2024): 350-355.
- Moortgat P, Anthonissen M, Meirte J, et al. The Physical and Physiological Effects of Vacuum Massage on the Different Skin Layers: A Current Status of the Literature. Burns & Trauma 4 (2016): 34.
- Qiao N, Dumas V, Bergheau A, et al. Contactless Mechanical Stimulation of the Skin Using Shear Waves. Journal of the Mechanical Behavior of Biomedical Materials 156 (2024): 106597.
- Bergheau A, Perrot JL, Vargiolu R, et al. Viscoelasticity Assessment of Tumoral Skin Using a Novel Contact-Free Palpation Methodology Based upon Surface Waves. Scientific Reports 12 (2022): 18716.
- Lintzeri DA, Karimian N, Blume-Peytavi U, et al. Epidermal Thickness in Healthy Humans: A Systematic Review and Meta-Analysis. Journal of the European Academy of Dermatology and Venereology 36 (2022): 1191-1200.
- Na S, Xumin L, Yong G. Research on K-Means Clustering Algorithm: An Improved K-Means Clustering Algorithm. Proceedings of the Third International Symposium on Intelligent Information Technology and Security Informatics (2010): 63-67.
- Okuda I, Takeda M, Taira M, et al. Objective Analysis of the Effectiveness of Facial Massage Using Breakthrough Computed Tomographic Technology: A Preliminary Pilot Study. Skin Research and Technology 28 (2022): 472-479.
- Caberlotto E, Ruiz L, Miller Z, et al. Effects of a Skin-Massaging Device on the Ex-Vivo Expression of Human Dermis Proteins and In-Vivo Facial Wrinkles. PLOS ONE 12 (2017): e0172624.
- Nishimura H, Okuda I, Kunizawa N, et al. Analysis of Morphological Changes after Facial Massage by a Novel Approach Using Three-Dimensional Computed Tomography. Skin Research and Technology 23 (2017): 369-375.






